| Обозначение: |  ГОСТ Р 9.608-2024 |
| Статус: | действующий |
| Название рус.: | Единая система защиты от коррозии и старения. Электрохимическая защита. Защита обсадных колонн скважин |
| Название англ.: | Unified system of corrosion and ageing protection. Electrochemical protection. Protection of well cases |
| Дата актуализации текста: | 01.12.2024 |
| Дата актуализации описания: | 01.01.2026 |
| Дата издания: | 28.10.2024 |
| Дата введения: | 01.06.2025 |
| Нормативные ссылки: | ГОСТ 9.602-2016; ГОСТ Р 51164 |
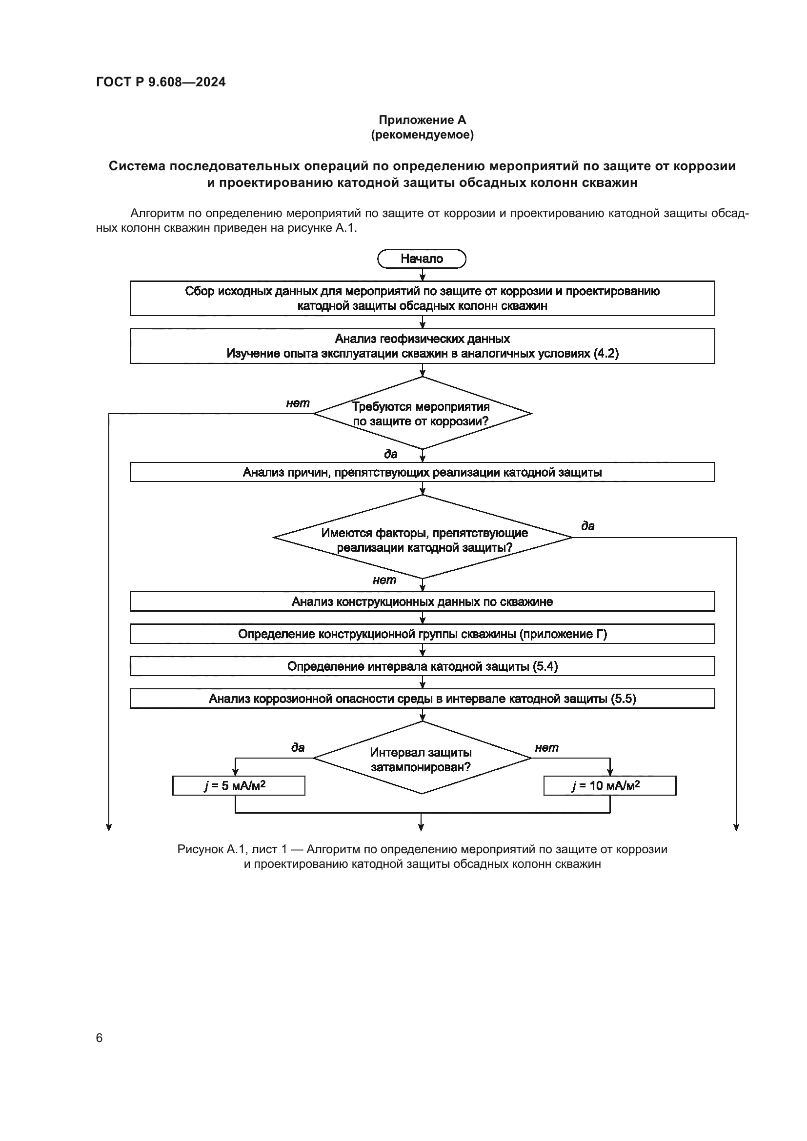
| Область применения: | Настоящий стандарт распространяется на системы электрохимической защиты от коррозии обсадных колонн скважин, выполненных из углеродистых и низколегированных сталей, при проектировании строительства новых объектов добычи газа, нефти и газового конденсата, при разработке проектной документации на реконструкцию действующих обсадных колонн скважин, а также при эксплуатации месторождений углеводородного сырья. Настоящий стандарт устанавливает методику расчета параметров катодной защиты обсадных колонн скважин от внешней коррозии, контактирующих с коррозионно-активным флюидом, и предназначенной для оценки ее целесообразности и эффективности |
|