| Обозначение: |  ГОСТ 31659-2024 |
| Статус: | действующий |
| Название рус.: | Микробиология пищевой цепи. Горизонтальный метод обнаружения, подсчета и серотипирования бактерий рода Salmonella. Часть 1. Обнаружение Salmonella spp |
| Название англ.: | Microbiology of the food chain. Horizontal method for the detection, enumeration and serotyping of Salmonella. Part 1. Detection of Salmonella spp |
| Дата актуализации текста: | 01.12.2024 |
| Дата актуализации описания: | 01.01.2026 |
| Дата регистрации: | 31.07.2024 |
| Дата издания: | 23.10.2024 |
| Дата введения: | 01.10.2025 |
| Взамен: | ГОСТ 31659-2012 |
| Содержит требования: | ISO 6579-1:2017 |
| Нормативные ссылки: | ГОСТ 7702.2.0; ГОСТ 26669; ГОСТ 26809.1; ГОСТ 26809.2; ГОСТ 31904 ;ГОСТ ISO 6887-6;ГОСТ ISO 7218;ГОСТ ISO 11133-2016;ГОСТ ISO 16140-2011;ГОСТ ISO 13307;ГОСТ ISO/TS 17728 |
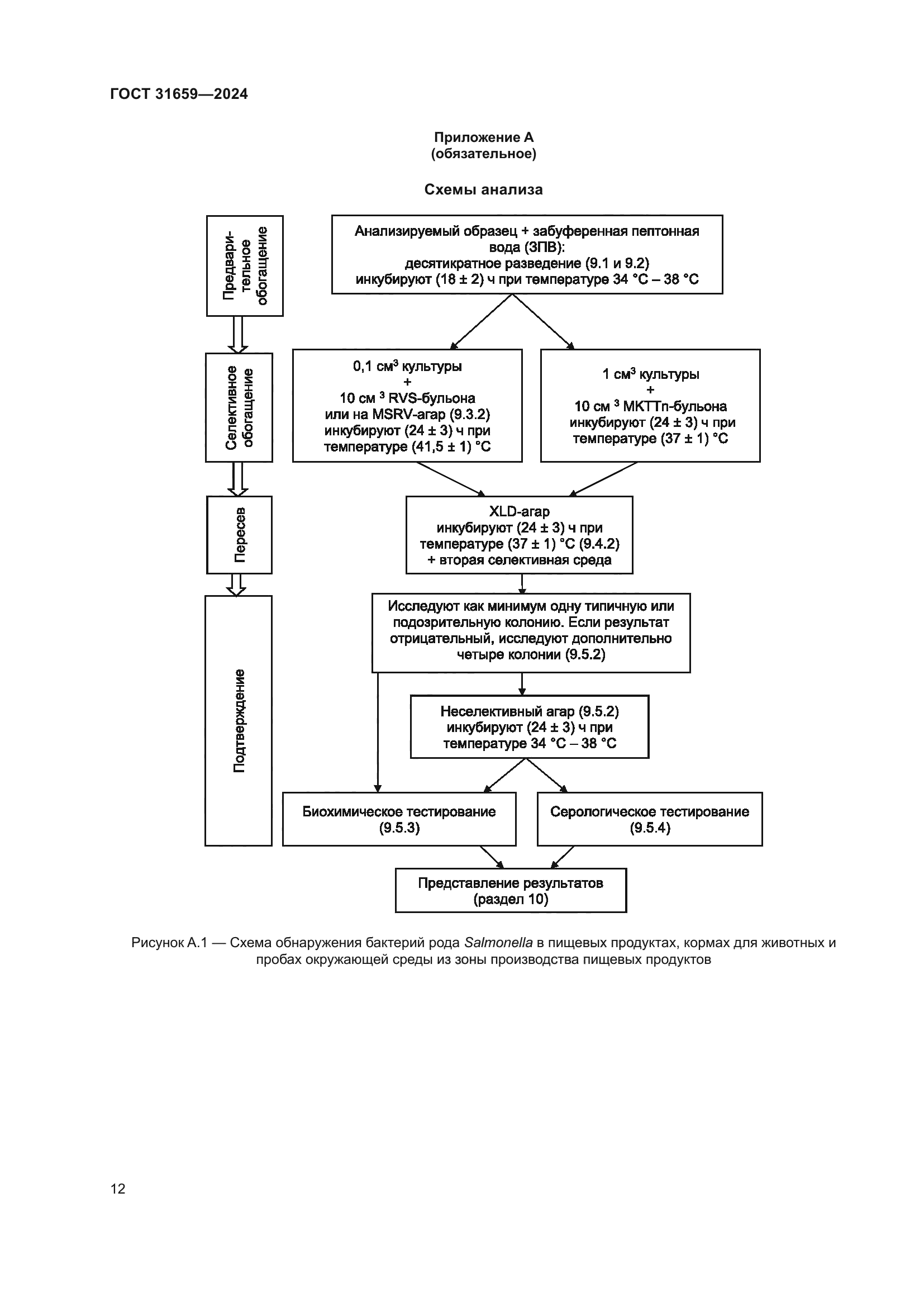
| Область применения: | Настоящий стандарт устанавливает горизонтальный метод обнаружения бактерий рода Salmonella. Настоящий стандарт распространяется на следующие объекты: - пищевая продукция, предназначенная для употребления человеком и продукция для кормления животных; - образцы окружающей среды из зоны производства и переработки пищевых продуктов; - образцы, отобранные на стадии первичной переработки продовольственного сырья, такие как фекалии животных, пыль и смывы |
|