| Обозначение: |  ГОСТ EN 17479-2024 |
| Статус: | действующий |
| Название рус.: | Система стандартов безопасности труда. Средства индивидуальной защиты органа слуха. Рекомендации по выбору методов испытаний индивидуальной подгонки средств индивидуальной защиты |
| Название англ.: | Occupational safety standards system. Personal protective means of hear body. Recommendations for the choice of methods for individual testing of the fit of personal protective equipment |
| Дата актуализации текста: | 01.12.2024 |
| Дата актуализации описания: | 01.01.2026 |
| Дата регистрации: | 31.07.2024 |
| Дата издания: | 29.10.2024 |
| Дата введения: | 01.11.2025 |
| Аутентичен стандартам: | EN 17479:2021 |
| Область применения: | Настоящий стандарт предоставляет практическое руководство по выбору методов испытаний на подгонку средств индивидуальной защиты органа слуха, а также практическое руководство по методам, их применению и ограничениям. Настоящий стандарт не устанавливает технические требования к производству оборудования для испытаний подгонки средств индивидуальной защиты органа слуха |
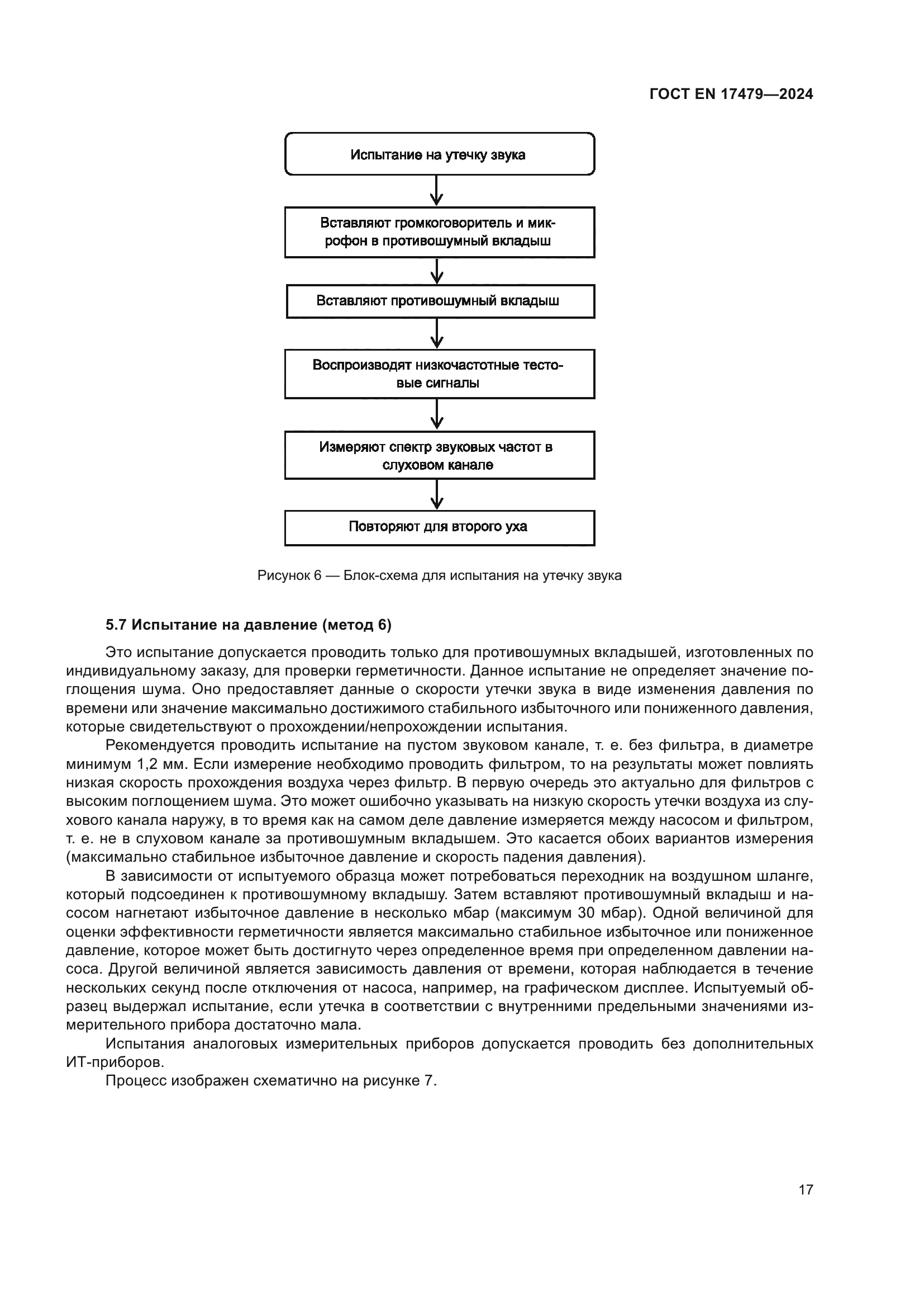
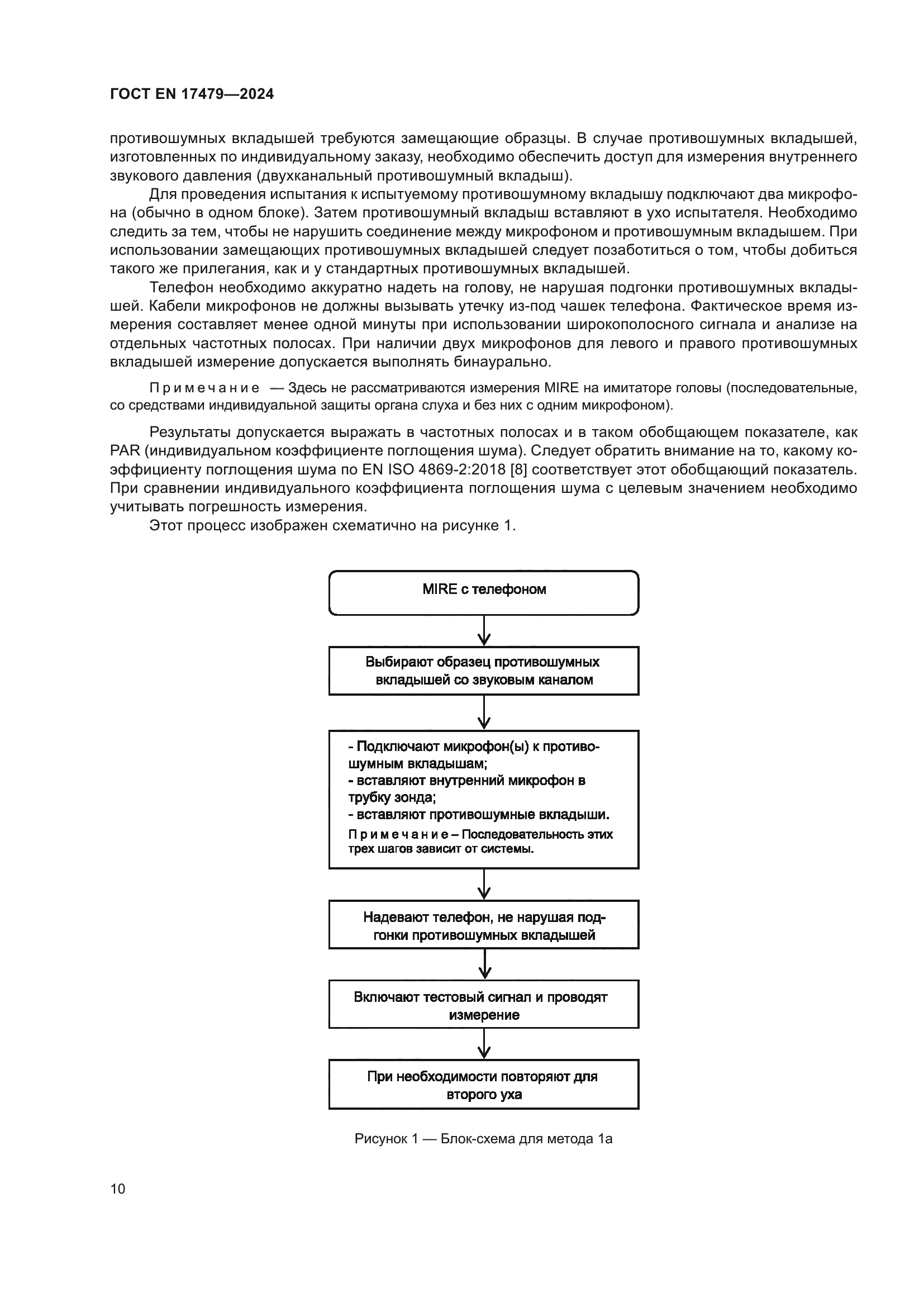
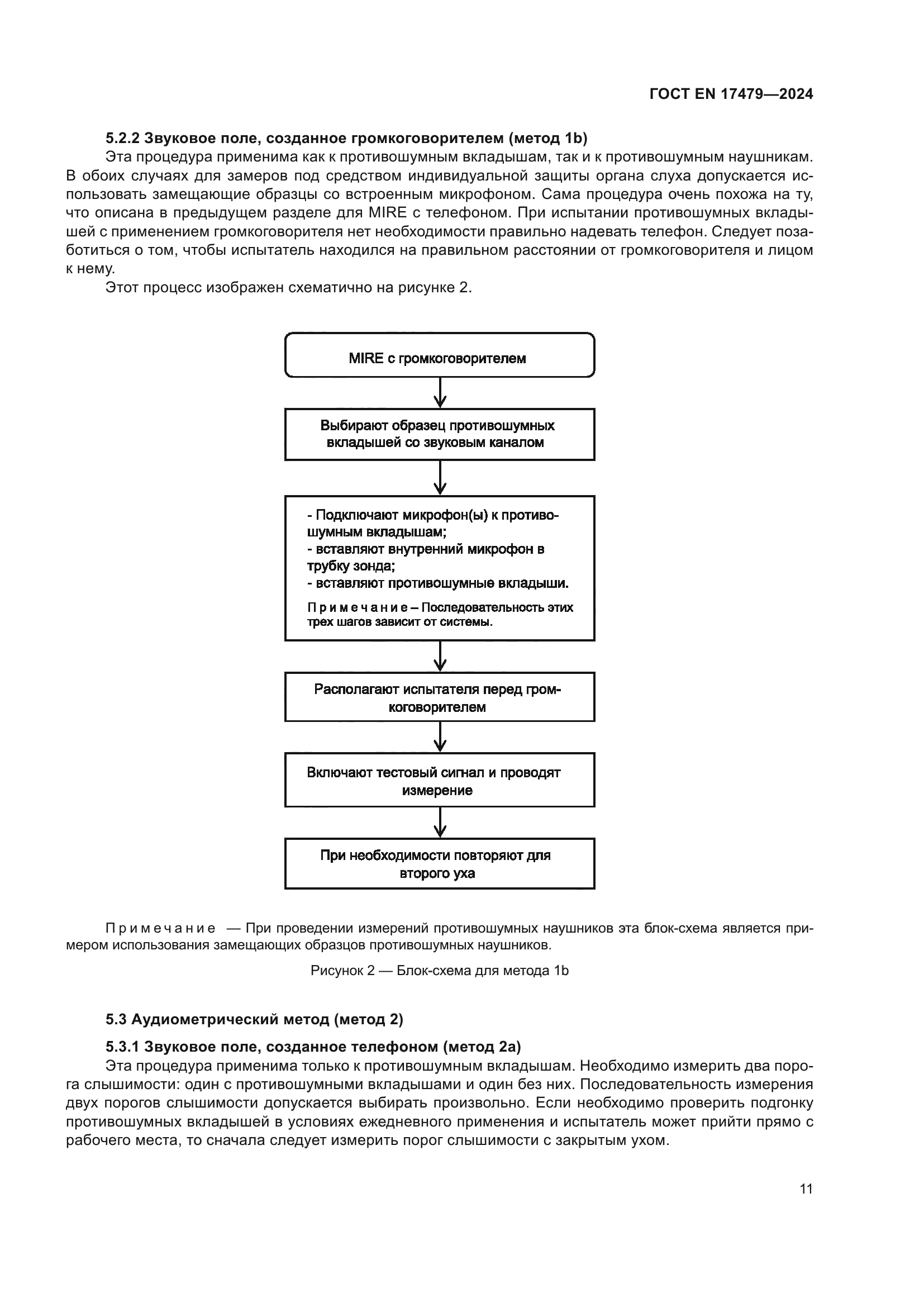
|