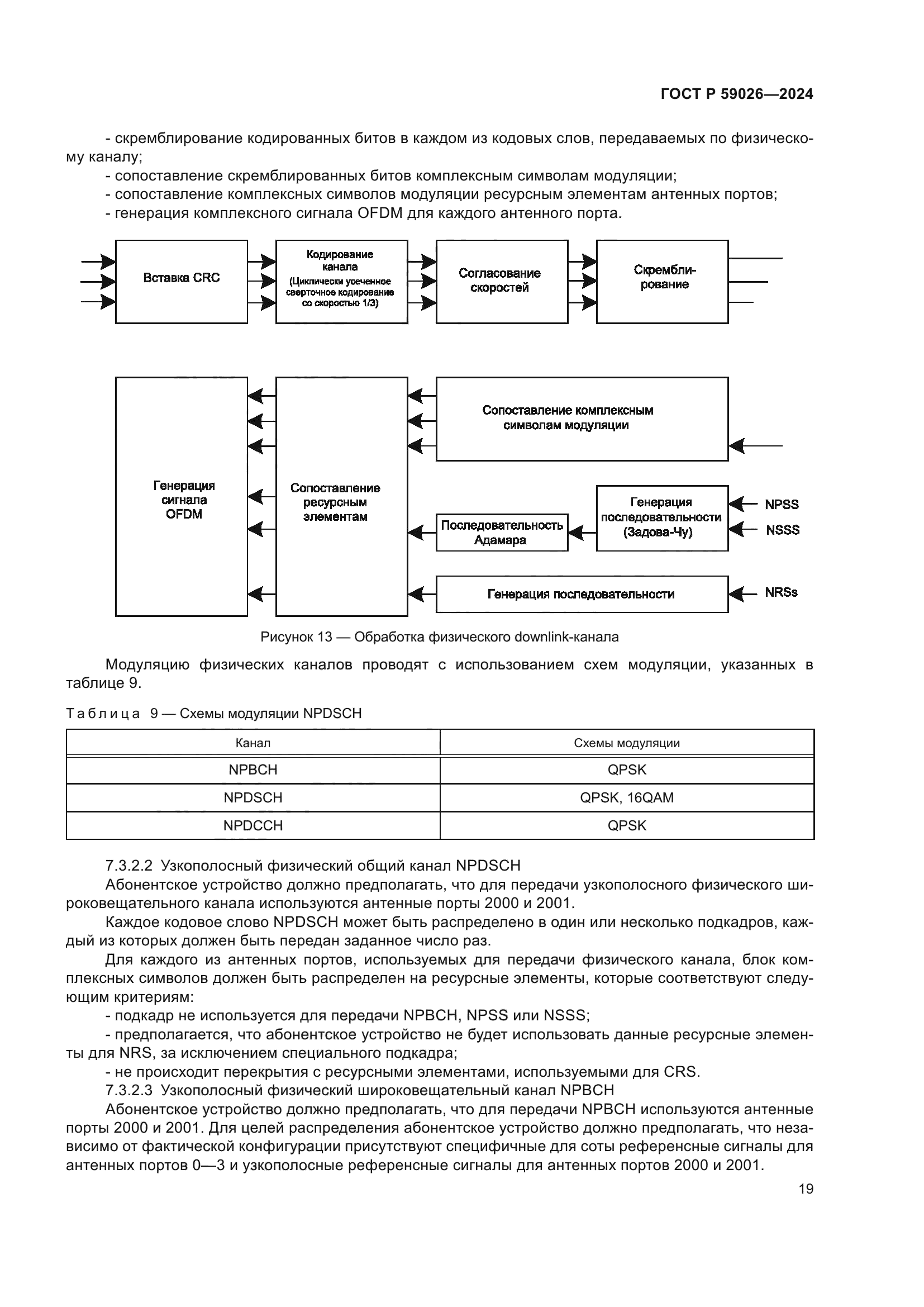
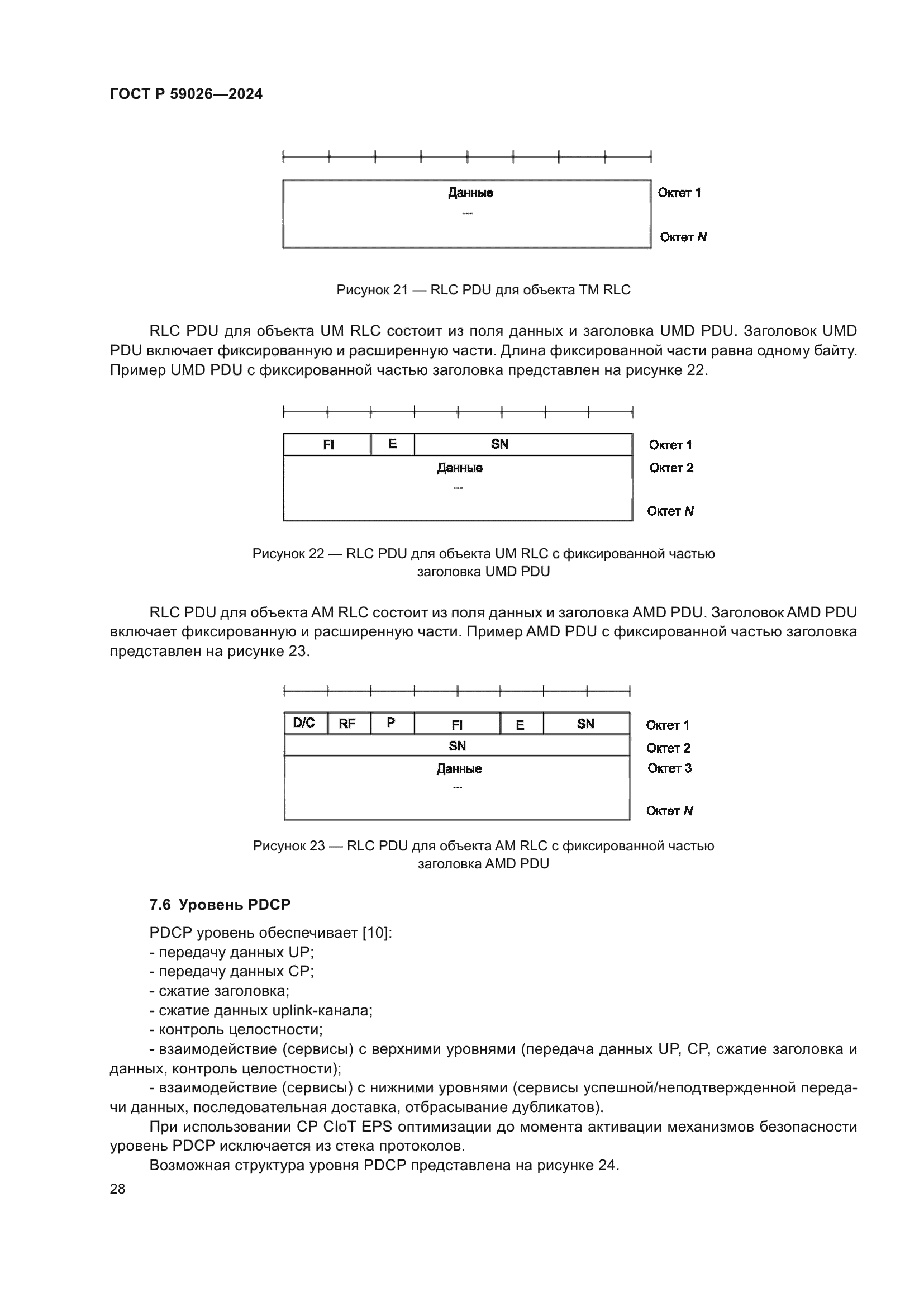
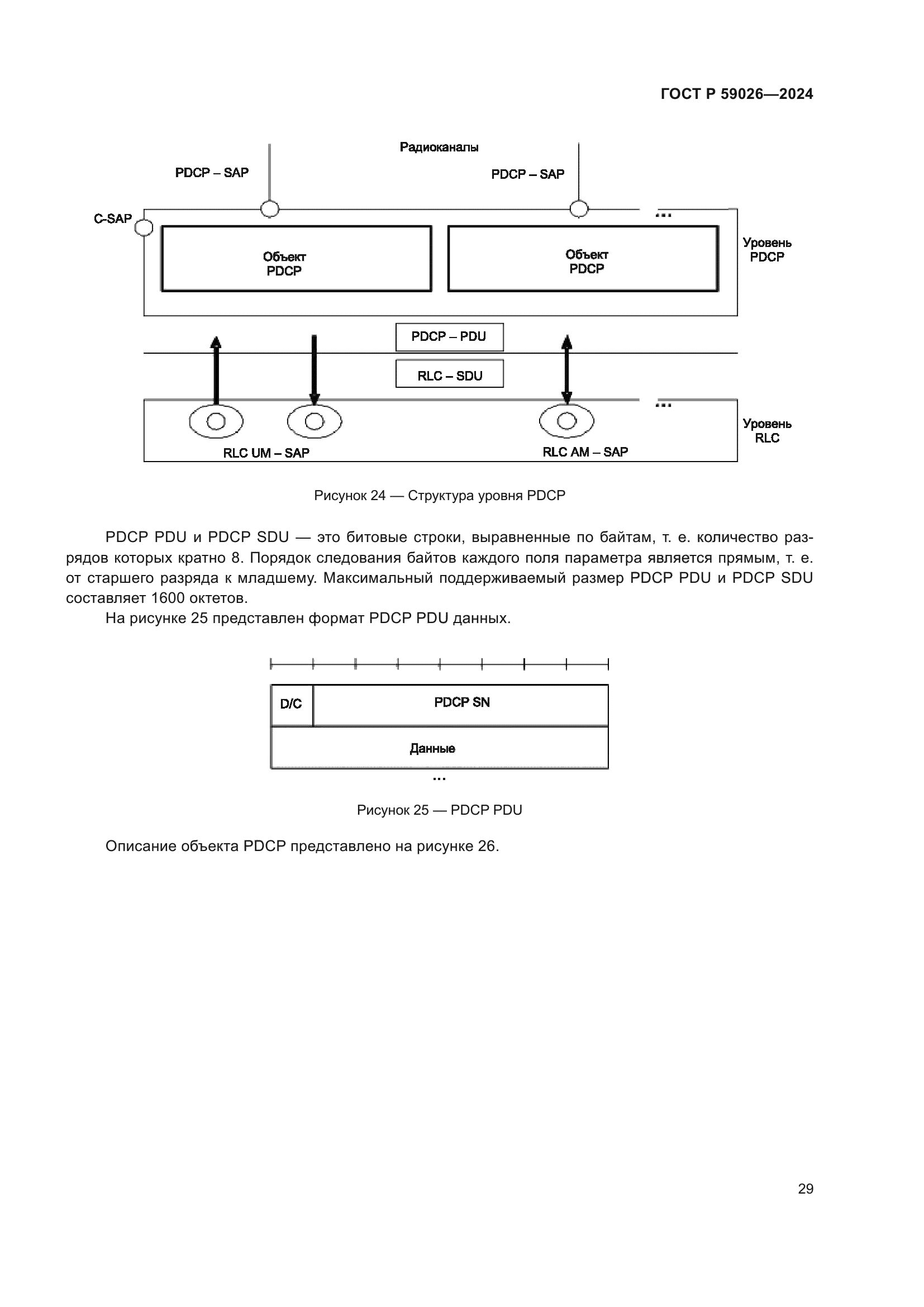
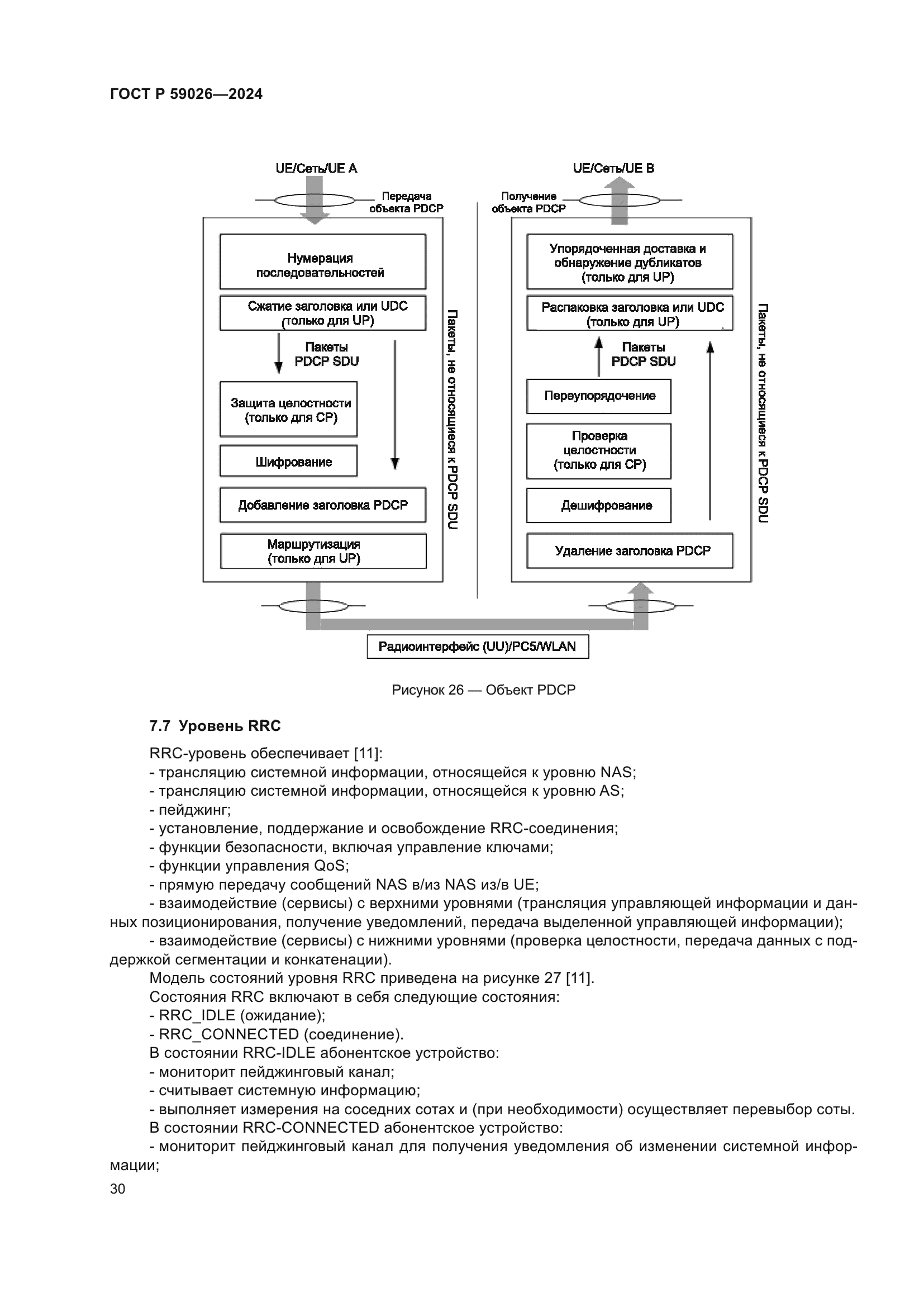
Скачать ГОСТ Р 59026-2024 Информационные технологии. Интернет вещей. Протокол беспроводной передачи данных NB-IoT. Основные параметрыДата актуализации: 01.06.2025 ГОСТ Р 59026-2024
Информационные технологии. Интернет вещей. Протокол беспроводной передачи данных NB-IoT. Основные параметры
| Обозначение: |  ГОСТ Р 59026-2024 |
| Статус: | действующий |
| Название рус.: | Информационные технологии. Интернет вещей. Протокол беспроводной передачи данных NB-IoT. Основные параметры | | Название англ.: | Information technology. Internet of things. NB-IoT wireless data transmission protocol. Key parameters | | Дата актуализации текста: | 01.12.2024 | | Дата актуализации описания: | 01.12.2024 | | Дата издания: | 29.10.2024 | | Дата введения: | 01.11.2024 | | Взамен: | ГОСТ Р 59026-2020 | | Область применения: | Настоящий стандарт распространяется на оборудование беспроводной передачи данных NB-loT и устанавливает его основные параметры. Требования настоящего стандарта следует учитывать при разработке, изготовлении и эксплуатации оборудования беспроводной передачи данных NB-loT. Настоящий стандарт, определяющий функционирование NB-loT, допускается использовать как основу реализации цифровых решений в различных отраслях экономики – строительство, ЖКХ, «умный город», промышленность, сельское хозяйство, транспорт, логистика и др | |
                                                
|