| Обозначение: |  ГОСТ Р ИСО 14068-1-2024 |
| Статус: | действующий |
| Название рус.: | Управление изменением климата. Переход к нулевому уровню выбросов. Часть 1. Углеродная нейтральность |
| Название англ.: | Climate change management. Transition to net zero. Part 1. Carbon neutrality |
| Дата актуализации текста: | 01.12.2024 |
| Дата актуализации описания: | 01.01.2025 |
| Дата издания: | 22.10.2024 |
| Дата введения: | 01.01.2025 |
| Аутентичен стандартам: | ISO 14068-1:2023 |
| Нормативные ссылки: | ISO 14064-1;ISO 14064-3;ISO 14067 |
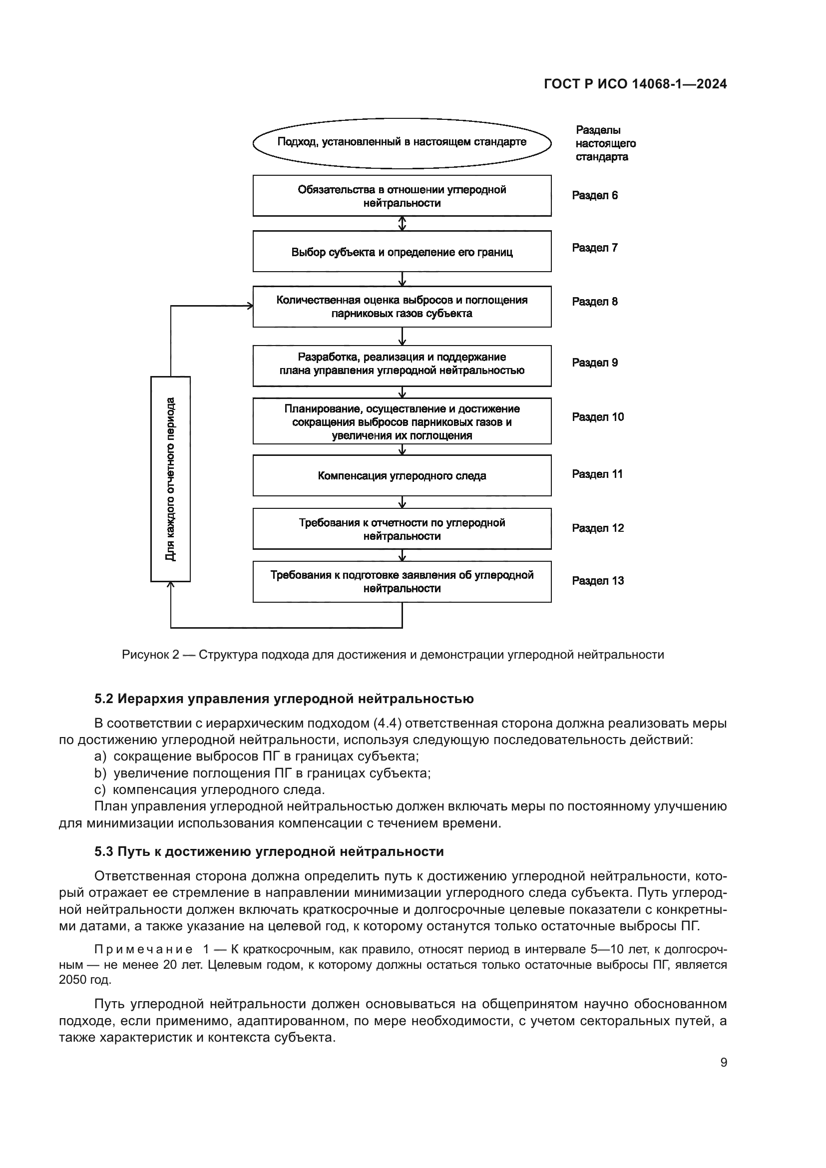
| Область применения: | В настоящем стандарте установлены принципы, требования и рекомендации по достижению и демонстрации углеродной нейтральности посредством количественного определения, сокращения и компенсации углеродного следа. Настоящий стандарт устанавливает термины, используемые в области углеродной нейтральности, и содержит руководство по действиям, необходимым для достижения и демонстрации углеродной нейтральности. В соответствии с общепринятой практикой в нем используется слово «углерод» для обозначения всех парниковых газов (ПГ) в сложных выражениях, таких как «углеродная нейтральность» |
|