| Обозначение: |  ГОСТ Р 71679-2024 |
| Статус: | действующий |
| Название рус.: | Плиты фибролитовые для зданий и сооружений. Технические условия |
| Название англ.: | Fiberboard slabs for buildings and structures. Specifications |
| Дата актуализации текста: | 01.12.2024 |
| Дата актуализации описания: | 01.12.2024 |
| Дата издания: | 24.10.2024 |
| Дата введения: | 01.11.2024 |
| Нормативные ссылки: | ГОСТ 12.1.044; ГОСТ 12.3.002; ГОСТ 15.309; ГОСТ 125; ГОСТ 2140; ГОСТ 5244; ГОСТ 6449.1; ГОСТ 7076; ГОСТ 8904; ГОСТ 10354; ГОСТ 14192; ГОСТ 15846; ГОСТ 17527; ГОСТ 19041; ГОСТ 20022.2; ГОСТ 20022.6; ГОСТ 23499; ГОСТ 23787.1; ГОСТ 23787.9; ГОСТ 24297; ГОСТ 25898; ГОСТ 27751; ГОСТ 28815; ГОСТ 30244; ГОСТ 30402; ГОСТ 30535; ГОСТ 30547; ГОСТ 31108; ГОСТ 31310; ГОСТ 31430; ГОСТ 31559; ГОСТ 31704; ГОСТ 31705; ГОСТ 31913; ГОСТ 31915; ГОСТ 31924; ГОСТ 31925; ГОСТ 32603; ГОСТ 33795;ГОСТ EN 822;ГОСТ EN 823;ГОСТ EN 824;ГОСТ EN 825;ГОСТ EN 826;ГОСТ EN 1602;ГОСТ EN 1604;ГОСТ EN 1605;ГОСТ EN 1606;ГОСТ EN 1607;ГОСТ EN 1609;ГОСТ EN 12086-2011;ГОСТ EN 12089;ГОСТ EN 12430;ГОСТ ISO/IEC 15420; ГОСТ Р 15.301; ГОСТ Р 53292; ГОСТ Р 53340; ГОСТ Р 54851; ГОСТ Р 54964-2023; ГОСТ Р 56387; ГОСТ Р 56623; ГОСТ Р 56704; ГОСТ Р 56705; ГОСТ Р 56707; ГОСТ Р 56711; ГОСТ Р 56770; ГОСТ Р 57255; ГОСТ Р 57270; ГОСТ Р 57337; ГОСТ Р 57356; ГОСТ Р 57787; ГОСТ Р 58324; ГОСТ Р 58359; ГОСТ Р 58774; ГОСТ Р 58893; ГОСТ Р 58939; ГОСТ Р 58941; ГОСТ Р 58965; ГОСТ Р 59008; ГОСТ Р 59137; ГОСТ Р 59150; ГОСТ Р 59154; ГОСТ Р 59214; ГОСТ Р 59571; ГОСТ Р 59688; ГОСТ Р 59922; ГОСТ Р 70572; ГОСТ Р ИСО 1182; ГОСТ Р ИСО 5660-1; ГОСТ Р ИСО 6707-1; ГОСТ Р ИСО 10456; ГОСТ Р ИСО 12491; ГОСТ Р ИСО/МЭК 18004;СП 50.13330;СП 51.13330.2011;СП 70.13330 ;СП 71.13330;СП 163.1325800 |
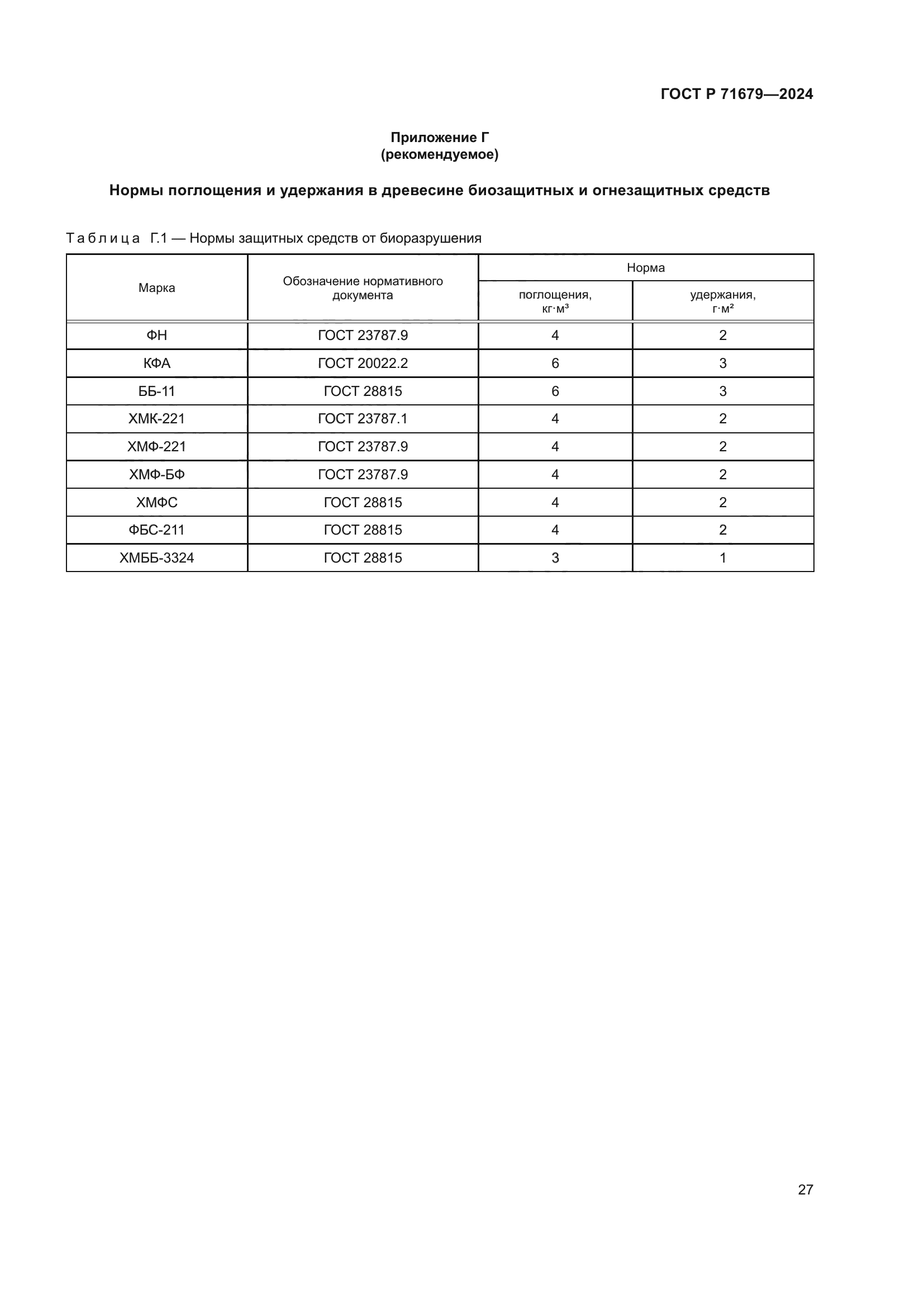
| Область применения: | Настоящий стандарт распространяется на фибролитовые плиты, состоящие из специальной длинной древесной стружки и неорганического вяжущего вещества, предназначенные для звукопоглощения, в декоративном исполнении конструкций потолков и стен, теплоизоляции и звукоизоляции конструкций зданий и сооружений в условиях, исключающих переувлажнение (накопление воды) в фибролите |
|