| Обозначение: |  ГОСТ Р ИСО 18091-2024 |
| Статус: | действующий |
| Название рус.: | Системы менеджмента качества. Руководящие указания по применению ИСО 9001 в органах местного самоуправления |
| Название англ.: | Quality management systems. Guidelines for the application of ISO 9001 in local government |
| Дата актуализации текста: | 01.12.2024 |
| Дата актуализации описания: | 01.01.2026 |
| Дата издания: | 23.10.2024 |
| Дата введения: | 01.11.2025 |
| Взамен: | ГОСТ Р ИСО 18091-2016 |
| Аутентичен стандартам: | ISO 18091:2019 |
| Нормативные ссылки: | ISO 9000:2015 |
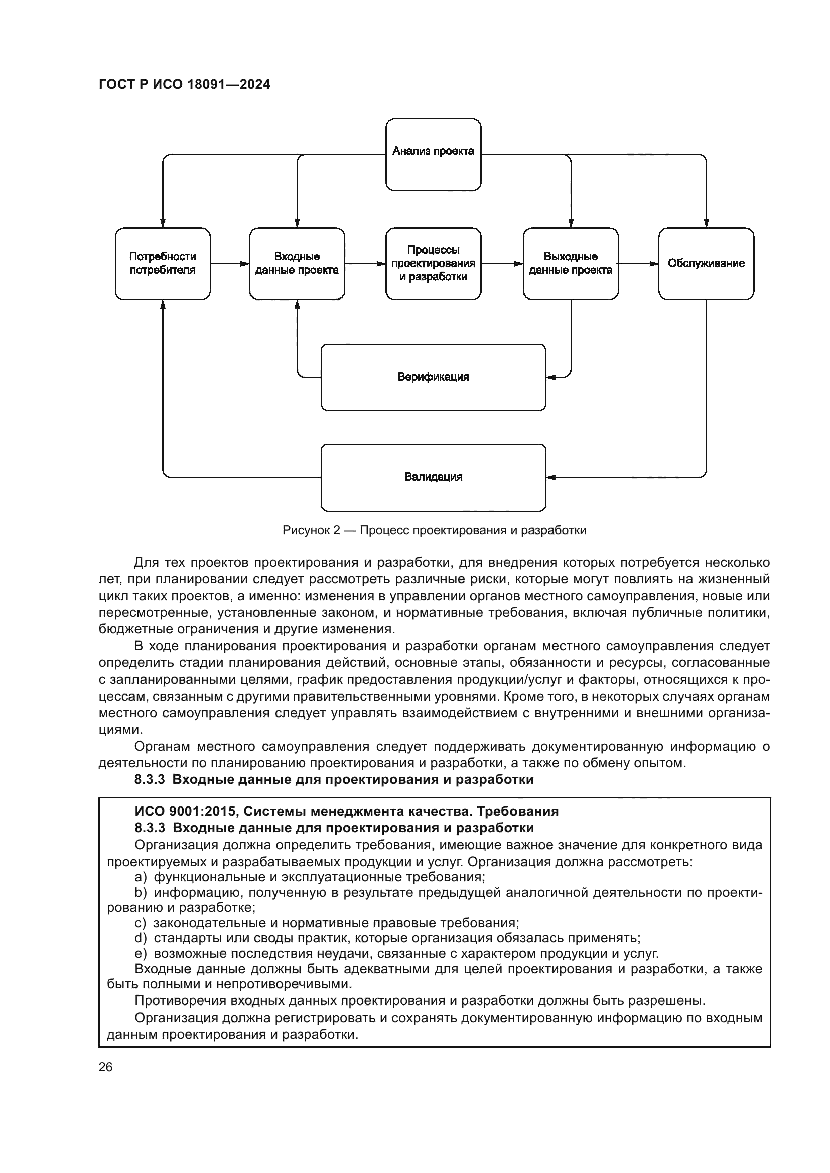
| Область применения: | Настоящий стандарт содержит руководящие указания для органов местного самоуправления относительно понимания и внедрения систем менеджмента качества в соответствии с требованиями ИСО 9001:2015 с целью удовлетворить потребности и ожидания их потребителей/граждан и иных заинтересованных сторон, стабильно предоставляя им продукцию и услуги. Он поддерживает ответственное внедрение системы менеджмента качества за счет комплексного применения стандарта ИСО 9001. Данные руководящие указания не дополняют, не изменяют и не преобразуют требования ИСО 9001 |
|