| Обозначение: |  ГОСТ Р 71646-2024 |
| Статус: | действующий |
| Название рус.: | Изделия криоэлектронные и с термоэлектронным охлаждением. Методы измерения шумовой температуры в диапазоне 4–100 К |
| Название англ.: | Cryoelectronic and thermoelectronic cooled products. Methods of measuring noise temperature in the range 4—100 К |
| Дата актуализации текста: | 01.12.2024 |
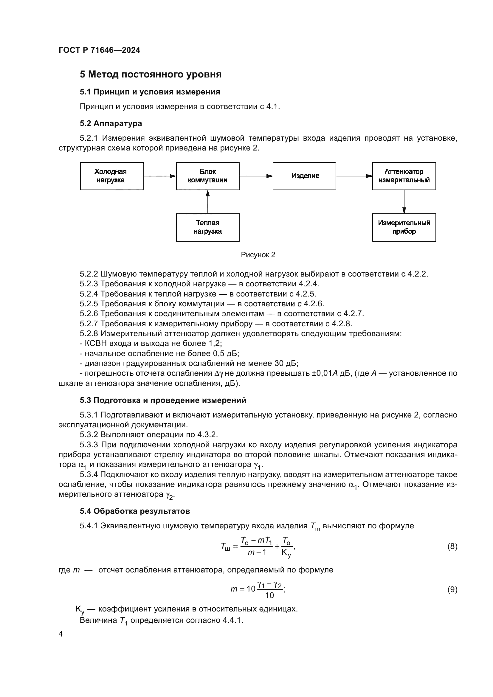
| Дата актуализации описания: | 01.06.2025 |
| Дата издания: | 15.10.2024 |
| Дата введения: | 01.03.2025 |
| Нормативные ссылки: | ГОСТ 20271.1; ГОСТ 20935 |
| Область применения: | Настоящий стандарт распространяется на изделия криоэлектронные и с термоэлектронным охлаждением (далее – изделия) и устанавливает следующие методы измерения шумовой температуры: - метод двух отсчетов при измерении в диапазоне 4–100 К и коэффициенте усиления более 30 дБ; - метод постоянного уровня при измерении в диапазоне 20–60 К и коэффициенте усиления более 10 дБ; - метод модуляционный прямого отсчета при измерении в диапазоне 60–100 К |
|