| Обозначение: |  ГОСТ Р 71611-2024 |
| Статус: | действующий |
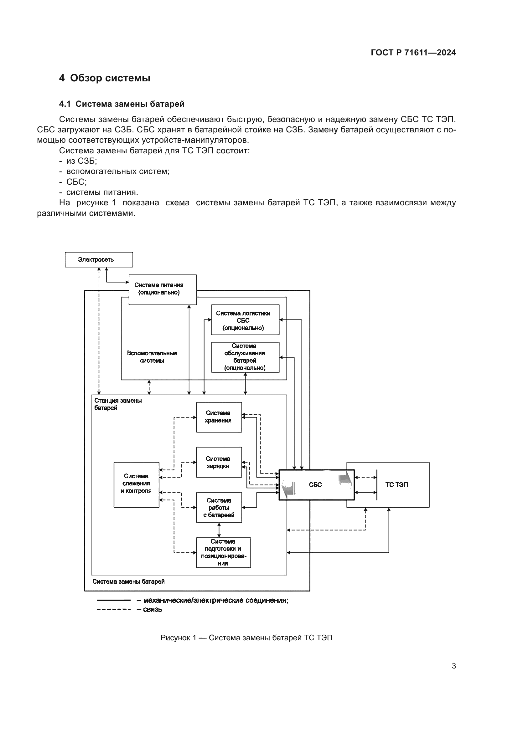
| Название рус.: | Система замены батарей электромобилей. Часть 1. Общие положения и руководство |
| Название англ.: | Electric vehicle battery swap system. Part 1. General and guidance |
| Дата актуализации текста: | 01.12.2024 |
| Дата актуализации описания: | 01.06.2025 |
| Дата издания: | 07.10.2024 |
| Дата введения: | 01.05.2025 |
| Аутентичен стандартам: | IEC TS 62840-1(2016) |
| Нормативные ссылки: | IEC 60038 |
| Область применения: | Настоящий стандарт устанавливает общие требования к системам замены батарей, предназначенных для замены батарей дорожных транспортных средств с электроприводом (ТС ТЭП) при выключенной трансмиссии транспортного средства и при условии подключения системы замены батарей с номинальным напряжением до 1000 В переменного тока и до 1500 В постоянного тока к сети питания со стандартным напряжением питания в соответствии с МЭК 60038 |
|