| Обозначение: |  ГОСТ Р 71615-2024 |
| Статус: | действующий |
| Название рус.: | Машины землеройные. Машины высокоавтоматизированные землеройные и дорожно-строительные. Технические требования и методы испытаний |
| Название англ.: | Earth moving machines. Highly automated earth-moving and road-building machines. Technical requirements and test methods |
| Дата актуализации текста: | 01.12.2024 |
| Дата актуализации описания: | 01.01.2025 |
| Дата издания: | 30.09.2024 |
| Дата введения: | 01.01.2025 |
| Нормативные ссылки: | ГОСТ ISO 12100; ГОСТ Р 12.2.011; ГОСТ Р 27.302; ГОСТ Р 27.607; ГОСТ Р 54124; ГОСТ Р 57612; ГОСТ Р 58837; ГОСТ Р 70850; ГОСТ Р 70851; ГОСТ Р 70852; ГОСТ Р ИСО 7731; ГОСТ Р ИСО 20474-1; ГОСТ Р 59898;ГОСТ ISO 15998 |
| Область применения: | Настоящий стандарт устанавливает требования и методы испытаний в отношении безопасности работы автоматизированной системы управления в совокупности с исполнительными механизмами землеройных и дорожно-строительных машин, в зависимости от их уровня автоматизации, путем анализа отказов и составления матрицы рисков. Настоящий стандарт не относится к области испытаний землеройной и дорожно-строительной техники на соответствие ее технических параметров выполнению дорожно-строительных работ |
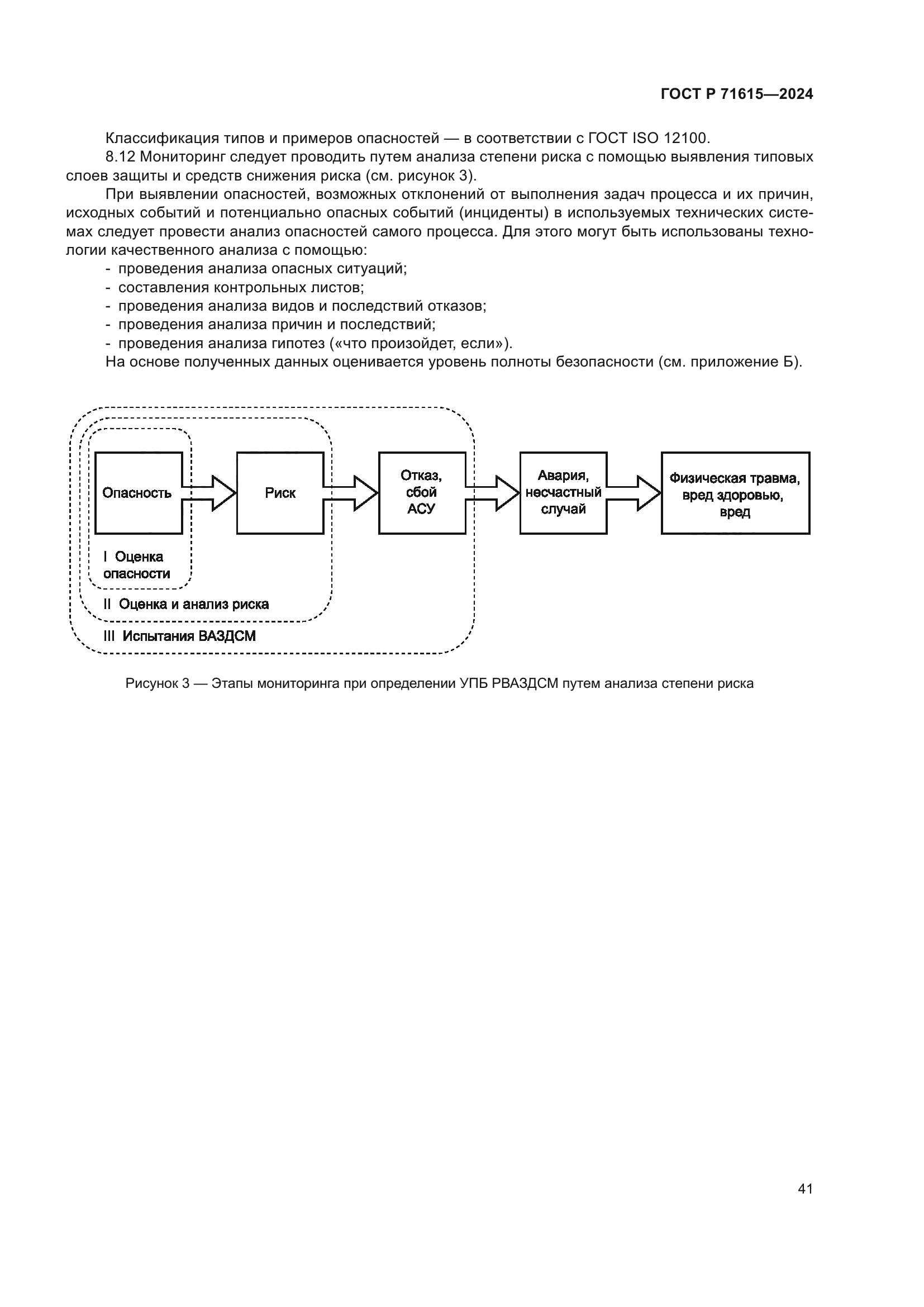
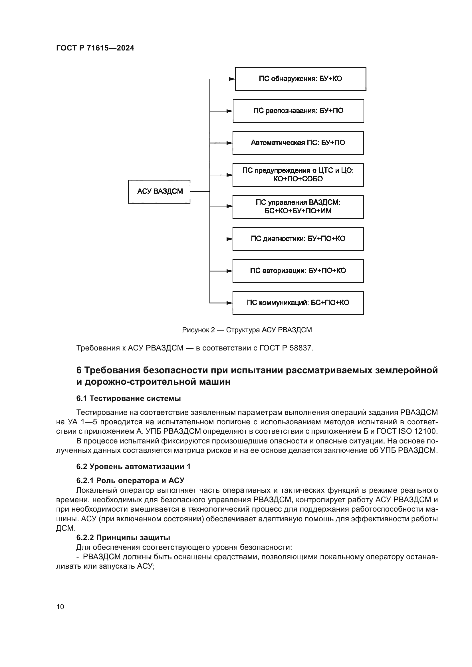
|