| Обозначение: |  ГОСТ 35101-2024 |
| Статус: | действующий |
| Название рус.: | Реле полупроводниковые. Требования безопасности |
| Название англ.: | Solid-state relays. Safety requirements |
| Дата актуализации текста: | 01.12.2024 |
| Дата актуализации описания: | 01.06.2025 |
| Дата регистрации: | 30.08.2024 |
| Дата издания: | 27.09.2024 |
| Дата введения: | 01.02.2025 |
| Содержит требования: | IEС 62314(2022) |
| Нормативные ссылки: | ГОСТ 27473; ГОСТ 29283-92; ГОСТ 29322-2014; ГОСТ 30630.2.1-2013; ГОСТ 30804.4.2-2013; ГОСТ 30804.4.11-2013; ГОСТ 31602.1;ГОСТ IEC 60664-3;ГОСТ IEC 60695-10-2;ГОСТ IEC 60695-2-11;ГОСТ IEC 60695-2-12;ГОСТ IEC 60947-4-3-2017;ГОСТ IEC 61000-4-3-2016;ГОСТ IEC 61000-4-4-2016;ГОСТ IEC 61000-4-5-2017;ГОСТ IEC 61000-4-8-2013;ГОСТ IEC 61000-4-34;ГОСТ IEC 61210-2017;ГОСТ IEC 61810-1-2013;ГОСТ IEC 61984;ГОСТ IEC 62368-1-2014;ГОСТ ISO 12100;ГОСТ CISPR 11;ГОСТ CISPR 32 |
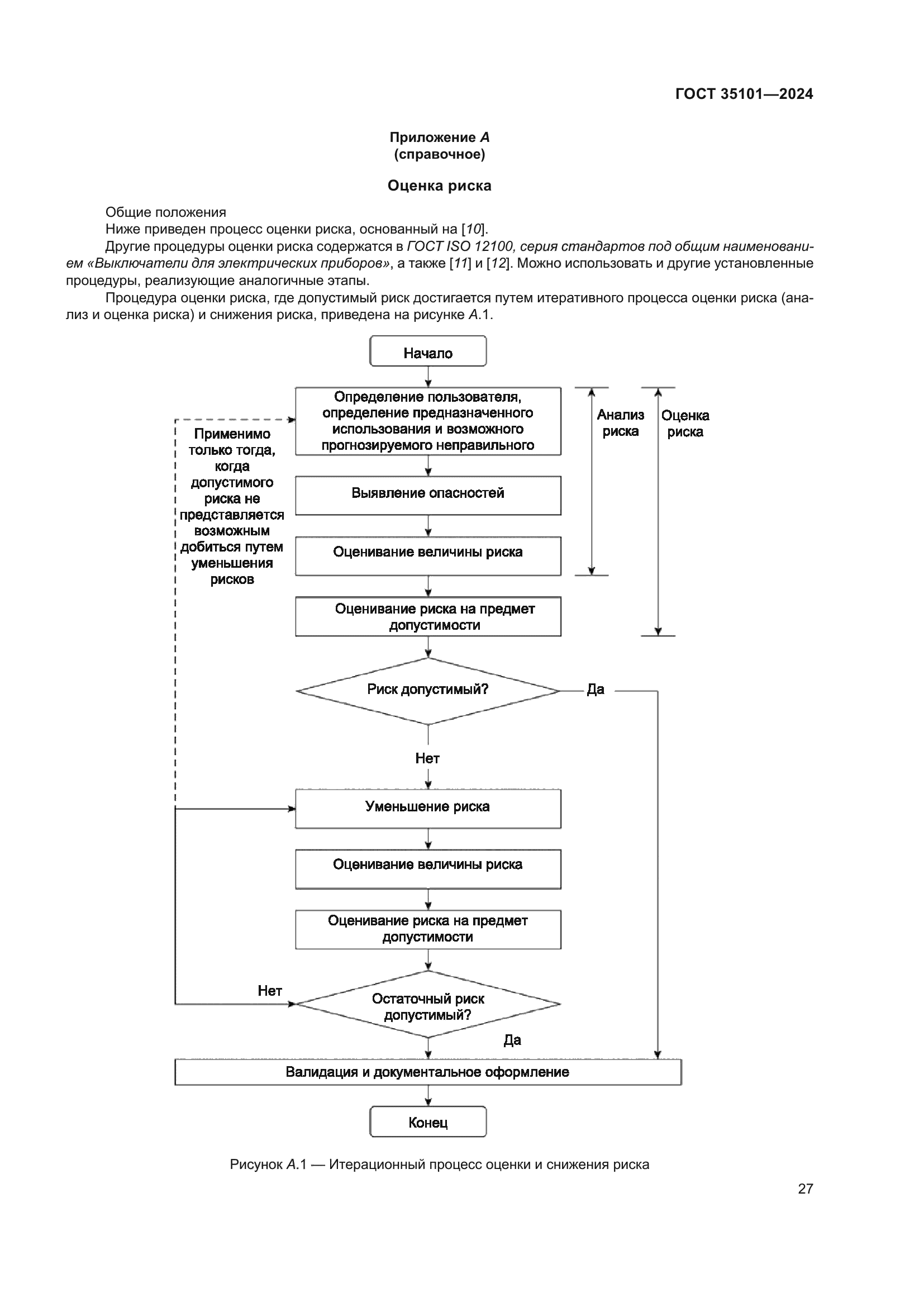
| Область применения: | Настоящий стандарт распространяется на логические электрические реле (полупроводниковые реле), коммутирующие (включающие, выключающие, замыкающие, размыкающие) внешние электрические цепи путем изменения своего внутреннего состояния. Настоящий стандарт устанавливает требования к работоспособности и безопасности полупроводниковых реле, использующихся в качестве элементов электрооборудования |
| Приложение №1: | Поправка к ГОСТ 35101-2024 |
|