Скачать ГОСТ Р 71374-2024 Вентиляция зданий. Эксплуатационные испытания оборудования для вентиляции жилых помещений. Испытание на определение рабочих характеристик механических приточных и вытяжных вентиляционных установок без воздуховодов для систем механической вентиляции, включая рекуперацию тепла, и предназначенных для одного помещенияДата актуализации: 01.06.2025 ГОСТ Р 71374-2024
Вентиляция зданий. Эксплуатационные испытания оборудования для вентиляции жилых помещений. Испытание на определение рабочих характеристик механических приточных и вытяжных вентиляционных установок без воздуховодов для систем механической вентиляции, включая рекуперацию тепла, и предназначенных для одного помещения
| Обозначение: |  ГОСТ Р 71374-2024 |
| Статус: | действующий |
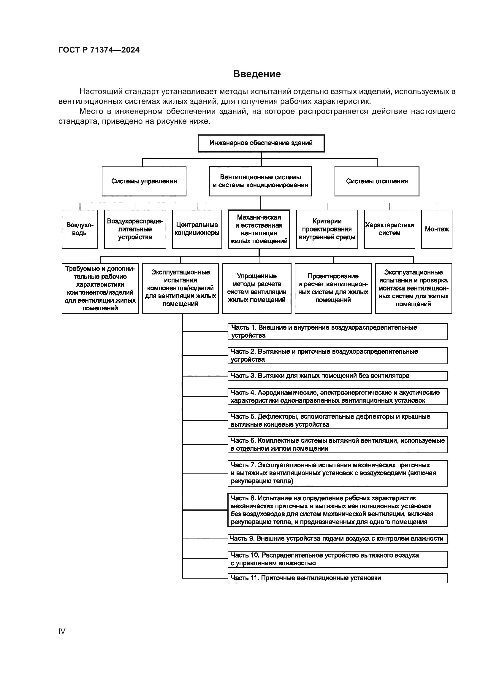
| Название рус.: | Вентиляция зданий. Эксплуатационные испытания оборудования для вентиляции жилых помещений. Испытание на определение рабочих характеристик механических приточных и вытяжных вентиляционных установок без воздуховодов для систем механической вентиляции, включая рекуперацию тепла, и предназначенных для одного помещения | | Название англ.: | Ventilation for buildings. Performance testing of equipment for residential ventilation. Performance testing of non-ducted mechanical supply and exhaust ventilation units, including heat recovery | | Дата актуализации текста: | 01.12.2024 | | Дата актуализации описания: | 01.01.2025 | | Дата издания: | 23.09.2024 | | Дата введения: | 01.01.2025 | | Нормативные ссылки: | ГОСТ 10921; ГОСТ 31353.2; ГОСТ 31353.3; ГОСТ 31353.4;ГОСТ ISO/IEC 17025-2019; ГОСТ Р 56769; ГОСТ Р ИСО 10140-1; ГОСТ Р ИСО 10140-2; ГОСТ Р ИСО 10140-4; ГОСТ Р ИСО 10140-5; ГОСТ Р 70064.1; ГОСТ Р 70064.2; ГОСТ Р 70064.3; ГОСТ Р 70064.4 | | Область применения: | Настоящий стандарт устанавливает методы лабораторных испытаний и требования к испытаниям для определения аэродинамических, тепловых, акустических и электрических характеристик механических приточных и вытяжных вентиляционных установок) В настоящем стандарте для более понятного изложения текста применены также эквивалентные понятия «агрегат» и «вентиляционный агрегат».) без воздуховодов, используемых в индивидуальных жилых домах. Настоящий стандарт не рассматривает качество вентилируемого воздуха | |
                                      
|