Скачать ГОСТ Р 71603-2024 Оборудование горно-шахтное. Предупреждение и предотвращение столкновений. Общие требованияДата актуализации: 01.06.2025 ГОСТ Р 71603-2024
Оборудование горно-шахтное. Предупреждение и предотвращение столкновений. Общие требования
| Обозначение: |  ГОСТ Р 71603-2024 |
| Статус: | действующий |
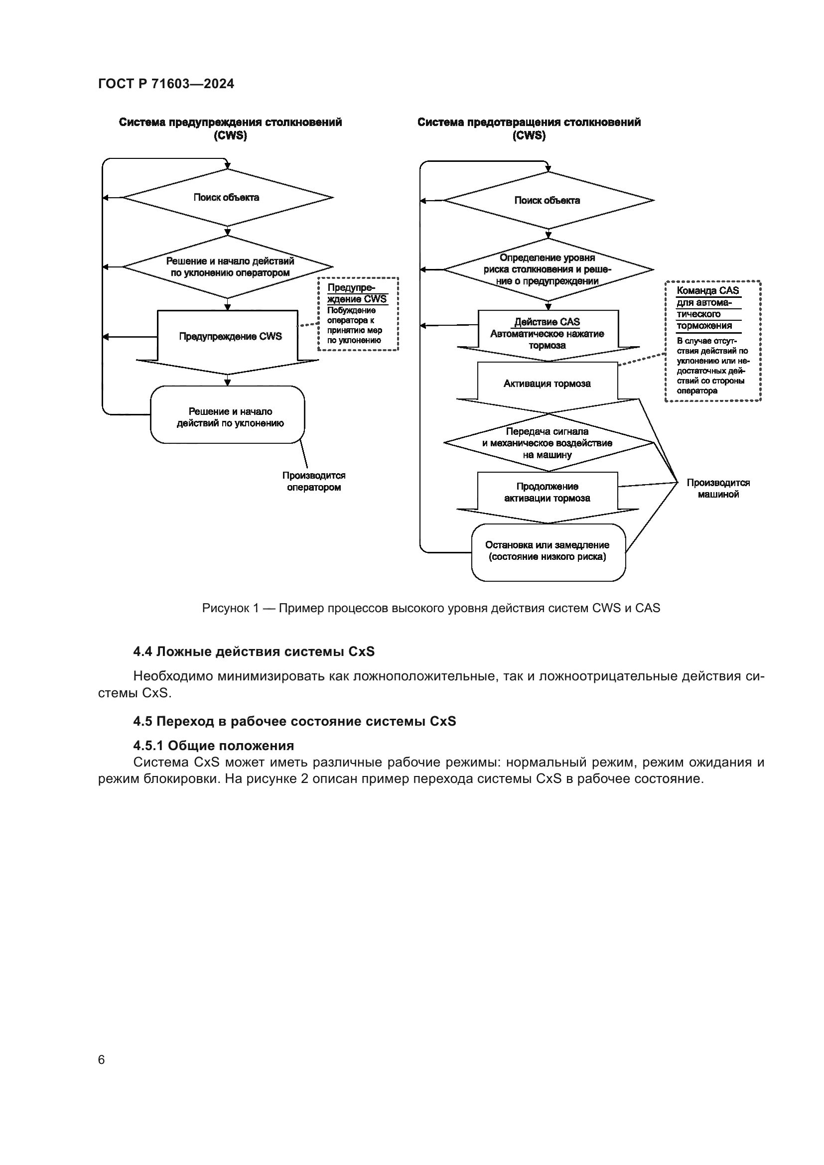
| Название рус.: | Оборудование горно-шахтное. Предупреждение и предотвращение столкновений. Общие требования | | Название англ.: | Mining equipment. Collision warning and avoidance. General requirements | | Дата актуализации текста: | 01.12.2024 | | Дата актуализации описания: | 01.12.2024 | | Дата издания: | 17.09.2024 | | Дата введения: | 01.12.2024 | | Содержит требования: | ISO 21815-1:2022 | | Нормативные ссылки: | ГОСТ ISO 6011-2017;ГОСТ ISO 10265;ГОСТ ISO 12100-2013;ГОСТ ISO 13849-1;ГОСТ ISO 15998;ГОСТ ISO 16001; ГОСТ Р 70298; ГОСТ Р ИСО 6165; ГОСТ Р ИСО 20474-1 | | Область применения: | Настоящий стандарт содержит терминологию и общие рекомендации по принципам систем предупреждения и предотвращения столкновений мобильных машин для подземных горных работ, как определено в ГОСТ Р 70298. Настоящий стандарт устанавливает общие требования к обнаружению объектов, предупреждениям для оператора, автоматическому управлению вмешательством во избежание столкновения и к процедурам испытаний. Он предназначен для использования в сочетании с другими частями серии стандартов, в которых будут установлены подробные рекомендации и требования к системам предупреждения и предотвращения столкновений, а также определены области и уровни риска для конкретных типов машин. В настоящем стандарте рассматривается предотвращение столкновений за счет снижения скорости или запрета движения и не включено рассмотрение ситуаций предотвращения с помощью автоматического маневрирования (например, путем поворота руля) от предполагаемого объекта. Системы, описанные в настоящем стандарте, предназначены только для помощи оператору машины, несущему ответственность за ее безопасную эксплуатацию. Принципы настоящего стандарта и большинство его положений могут быть применены и к строительно-дорожным машинам в соответствии с ГОСТ Р ИСО 6165 (см. также [1]). Настоящий стандарт не распространяется на системы предупреждения и предотвращения столкновений, установленные на машине до даты его публикации | |
                      
|