| Обозначение: |  ГОСТ Р 71560-2024 |
| Статус: | действующий |
| Название рус.: | Оценка соответствия. Руководящие указания и примеры схемы сертификации услуг |
| Название англ.: | Conformity assessment. Guidelines and examples of a certification scheme for services |
| Дата актуализации текста: | 01.12.2024 |
| Дата актуализации описания: | 01.12.2024 |
| Дата издания: | 23.08.2024 |
| Дата введения: | 01.09.2024 |
| Аутентичен стандартам: | ISO/IEC TR 17028:2017 |
| Нормативные ссылки: | ISO/IEC 17000:2004;ISO/IEC 17065:2012;ISO/IEC 17067:2013 |
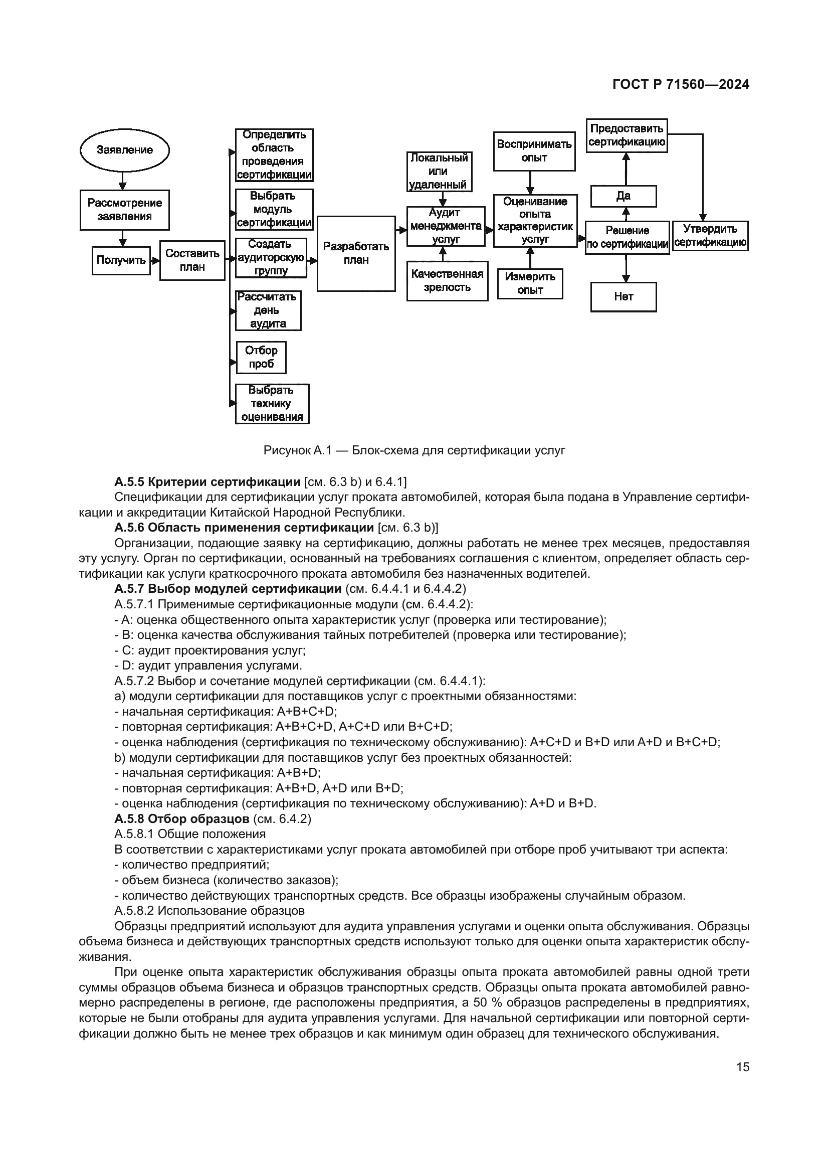
| Область применения: | Настоящий стандарт устанавливает руководящие указания и примеры схем сертификации услуг |
|