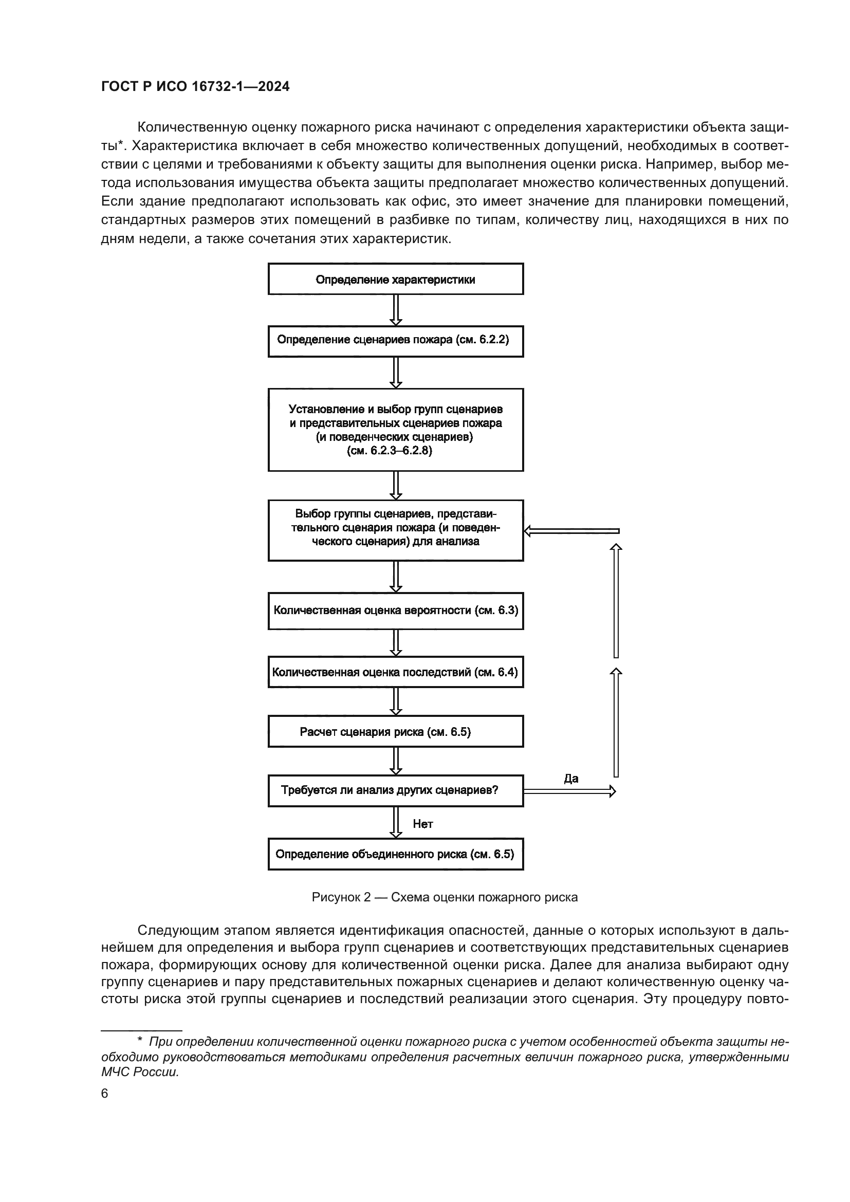
Скачать ГОСТ Р ИСО 16732-1-2024 Менеджмент риска. Процедуры управления пожарным риском на предприятииДата актуализации: 01.06.2025 ГОСТ Р ИСО 16732-1-2024
Менеджмент риска. Процедуры управления пожарным риском на предприятии
| Обозначение: |  ГОСТ Р ИСО 16732-1-2024 |
| Статус: | действующий |
| Название рус.: | Менеджмент риска. Процедуры управления пожарным риском на предприятии | | Название англ.: | Risk management. Fire risk management in enterprise | | Дата актуализации текста: | 01.12.2024 | | Дата актуализации описания: | 01.06.2025 | | Дата издания: | 06.08.2024 | | Дата введения: | 01.03.2025 | | Взамен: | ГОСТ Р 51901.10-2009 | | Аутентичен стандартам: | ISO 16732-1:2012 | | Нормативные ссылки: | ISO 13943:2008 | | Область применения: | Настоящий стандарт содержит основные положения для оценки риска путем установления принципов, лежащих в основе количественной оценки и интерпретации пожарного риска. Принципы пожарного риска могут быть применены ко всем ситуациям, связанным с возникновением пожара, всем конфигурациям и типам сценариев пожаров. Принципы и концепции настоящего стандарта можно применять к любым целям обеспечения пожарной безопасности, включая пять основных целей, перечисленных в разделе 1 ИСО 23932:2009: - безопасность жизни; - сохранность имущества; - непрерывность экономической деятельности и безопасность операций; - защита окружающей среды; - сохранение культурно-исторического наследия | |
                          
|