Скачать ГОСТ Р 71105.1-2024 Конструкции для удаления дымовых газов. Системы дымоходные с внутренними керамическими трубами. Часть 1. Требования и методы испытания на устойчивость к возгоранию сажиДата актуализации: 01.06.2025 ГОСТ Р 71105.1-2024
Конструкции для удаления дымовых газов. Системы дымоходные с внутренними керамическими трубами. Часть 1. Требования и методы испытания на устойчивость к возгоранию сажи
| Обозначение: |  ГОСТ Р 71105.1-2024 |
| Статус: | действующий |
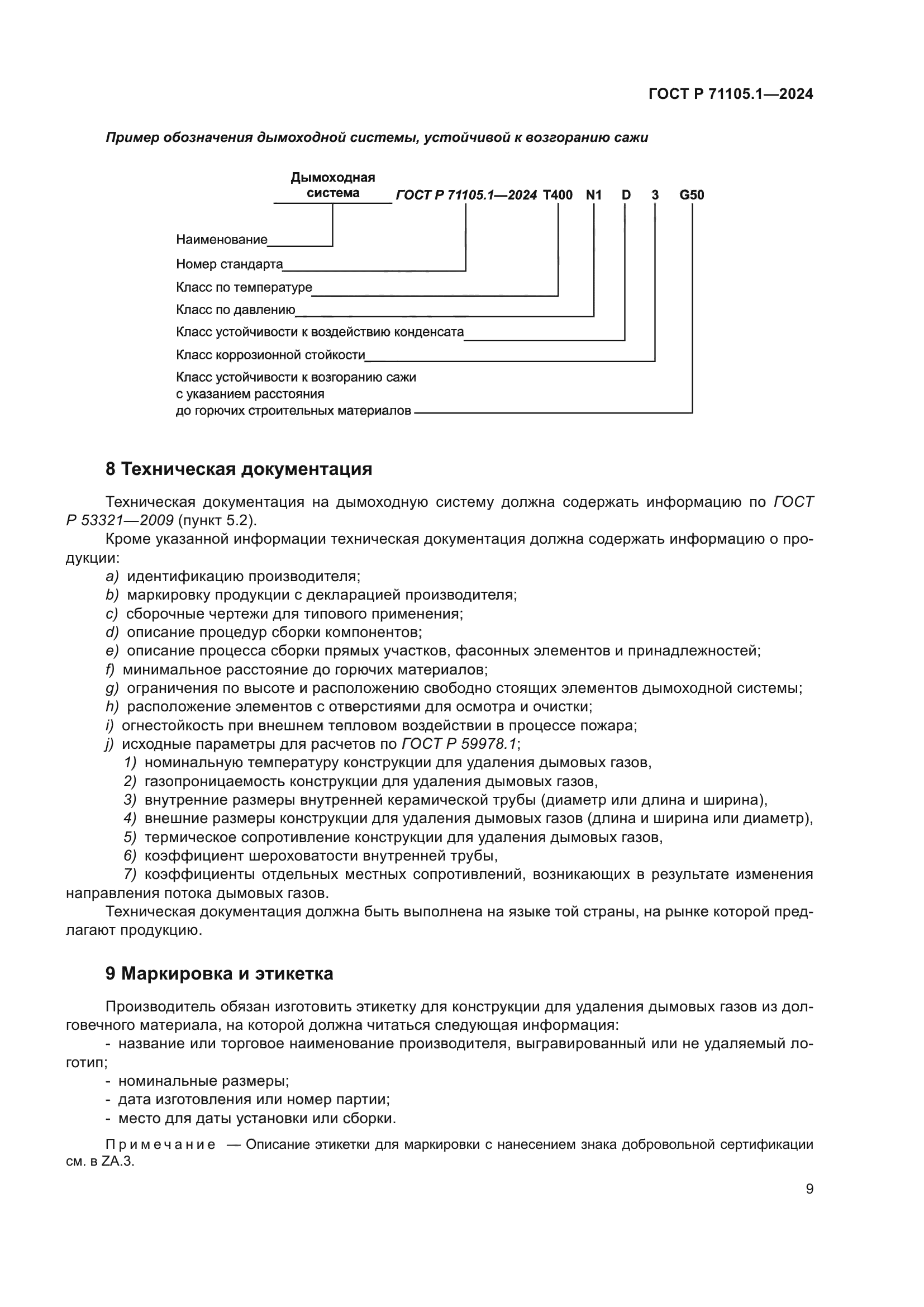
| Название рус.: | Конструкции для удаления дымовых газов. Системы дымоходные с внутренними керамическими трубами. Часть 1. Требования и методы испытания на устойчивость к возгоранию сажи | | Название англ.: | Chimneys. Chimney system with ceramic flue liners. Part 1. Requirements and test methods for sootfire resistance | | Дата актуализации текста: | 01.12.2024 | | Дата актуализации описания: | 01.12.2024 | | Дата издания: | 09.07.2024 | | Дата введения: | 01.07.2024 | | Содержит требования: | DIN EN 13063-1:2007 | | Нормативные ссылки: | ГОСТ 32314-2012; ГОСТ Р 53299; ГОСТ Р 53321; ГОСТ Р 57337-2016; ГОСТ Р 59376; ГОСТ Р 59412; ГОСТ Р 59978.1; ГОСТ Р 70874.1-2024; ГОСТ Р 71106-2024; ГОСТ Р ИСО 1182; ГОСТ Р ИСО 2859-1 | | Область применения: | Настоящий стандарт устанавливает требования и методы испытаний многослойных дымоходных систем, устойчивых к возгоранию сажи, применяемых для сухого режима эксплуатации, третьего класса коррозионной стойкости, классов давления N 1 или N 2 по ГОСТ Р 59412, в которых продукты сгорания отводятся наружу в атмосферу через керамические внутренние трубы. Стандарт содержит информацию по обозначению и инспекционному контролю. Стандарт содержит требования к маркировке, инструкциям производителя, информации о продукте и процедуре подтверждения соответствия. Настоящий стандарт не распространяются на отдельно стоящие или самонесущие дымоходные системы. Дымоходная система состоит из следующих компонентов, если применимо: - керамических внутренних труб; - теплоизоляционного слоя; - внешней оболочки; - раствора для соединения внутренних труб; - раствора для соединения элементов наружной оболочки; - оголовок; - секции в основании; - воздушного канала; - шахты; - облицовки; - секции с отверстием для осмотра и очистки; - отверстий для осмотра и очистки; - распорных элементов; - элементов крепления (армирования). Дымоходная система состоит из комбинации соответствующих друг другу компонентов, которые предоставлены или указаны производителем, за которые производитель берет на себя полную ответственность, включая как отдельные компоненты, так и продукт в целом | |
                              
|