Скачать ГОСТ Р 71454-2024 Назначение требований к полноте безопасности. ОбоснованиеДата актуализации: 01.01.2026 ГОСТ Р 71454-2024
Назначение требований к полноте безопасности. Обоснование
| Обозначение: |  ГОСТ Р 71454-2024 |
| Статус: | действующий |
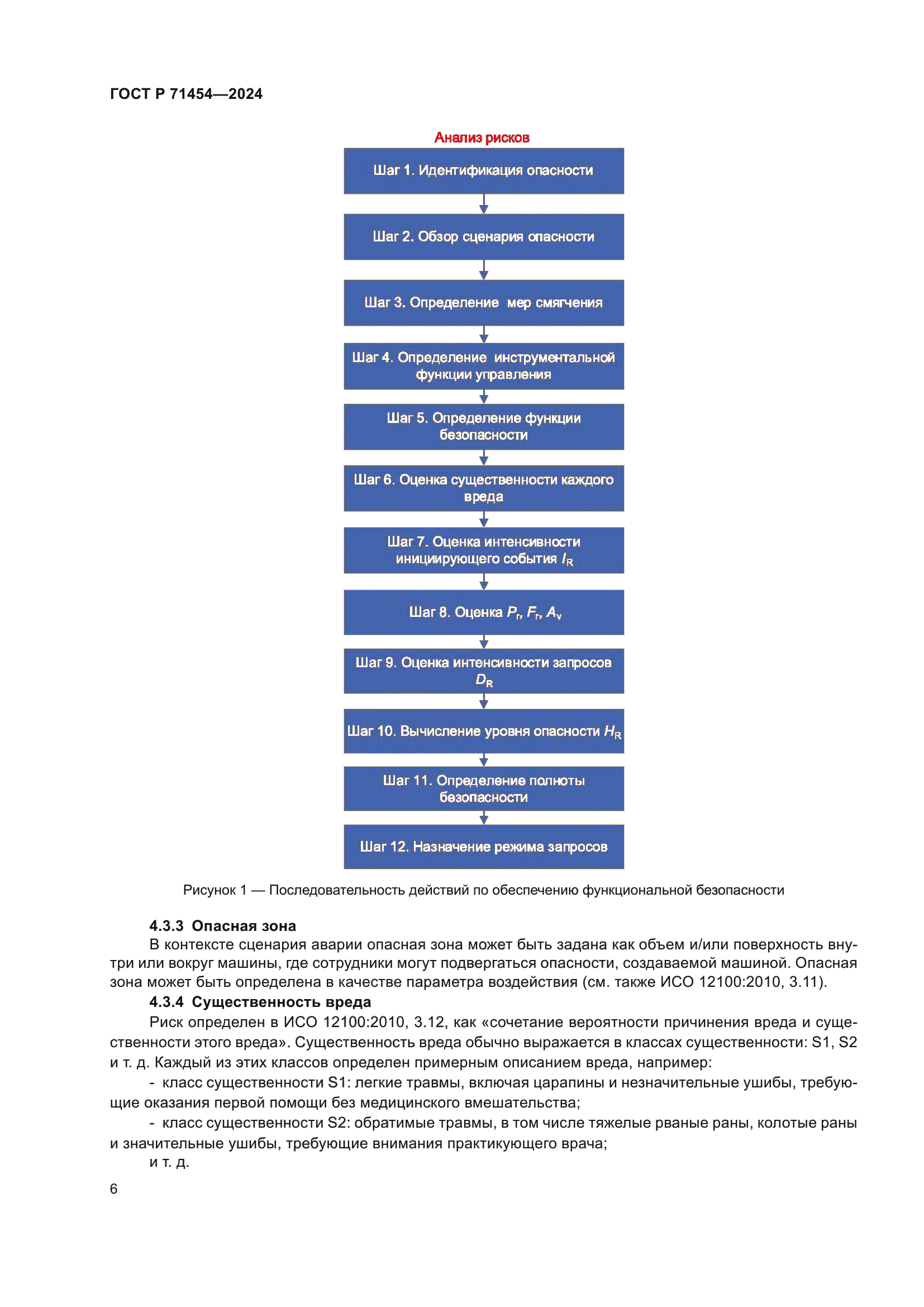
| Название рус.: | Назначение требований к полноте безопасности. Обоснование | | Название англ.: | Assignment of a safety integrity requirements. Basic rationale | | Дата актуализации текста: | 01.12.2024 | | Дата актуализации описания: | 01.01.2026 | | Дата издания: | 25.06.2024 | | Дата введения: | 01.07.2025 | | Аутентичен стандартам: | IEC TR 63161(2022) | | Нормативные ссылки: | ISO 12100:2010 | | Область применения: | Настоящий стандарт может быть использован в тех случаях, когда для машины или производственного предприятия выполнена оценка рисков в соответствии с ИСО 12100 и выбрана связанная с безопасностью функция управления, реализующая меры защиты от определенных опасностей. В настоящем стандарте описан пример базовой логики обоснования при назначении требования полноты безопасности для выбранной функции. С одной стороны, представленное описание является общим и, насколько это возможно, не зависит от какого-либо конкретного инструментального средства или метода, который может быть использован для определения требования полноты безопасности. Это требование может быть выражено как уровень полноты безопасности (SIL) или уровень эффективности защиты (PL). В качестве примера приведено обоснование, которое реализуется методами и средствами, использующими количественный подход, основанный на управлении рисками. С другой стороны, логика, описанная в настоящем стандарте, может быть использована в качестве эталонной для оценки конкретных методов или средств при назначении полноты безопасности. Это позволяет определить, в какой степени рассматриваемое(ый) средство/метод соответствует количественному подходу, основанному на управлении рисками, и в каких случаях отклонения от этого подхода обусловлены другими причинами. Часто в реальных приложениях могут существовать веские основания, которые приводят к тому, что количественный подход, базирующийся на управлении рисками, может быть изменен или отменен. Обсуждение или оценка подобных оснований не входит в область применения. Как правило, причины отклонений рассматриваемого средства или метода от логики количественного подхода приводятся и обсуждаются в соответствующем разделе настоящего стандарта. Примеры такого анализа приведены для общеиспользуемых методов и средств в форме графов рисков и матриц рисков. Настоящий стандарт может быть использован для функций управления, связанных с безопасностью, во всех режимах применения: в непрерывном режиме, режиме с высоким уровнем запросов и режиме с низким уровнем запросов | |
                                      
|