Скачать ГОСТ Р 71246-2024 Резцы токарные проходные, подрезные и копировальные со сменными многогранными пластинами. Типы и размерыДата актуализации: 01.01.2026 ГОСТ Р 71246-2024
Резцы токарные проходные, подрезные и копировальные со сменными многогранными пластинами. Типы и размеры
| Обозначение: |  ГОСТ Р 71246-2024 |
| Статус: | действующий |
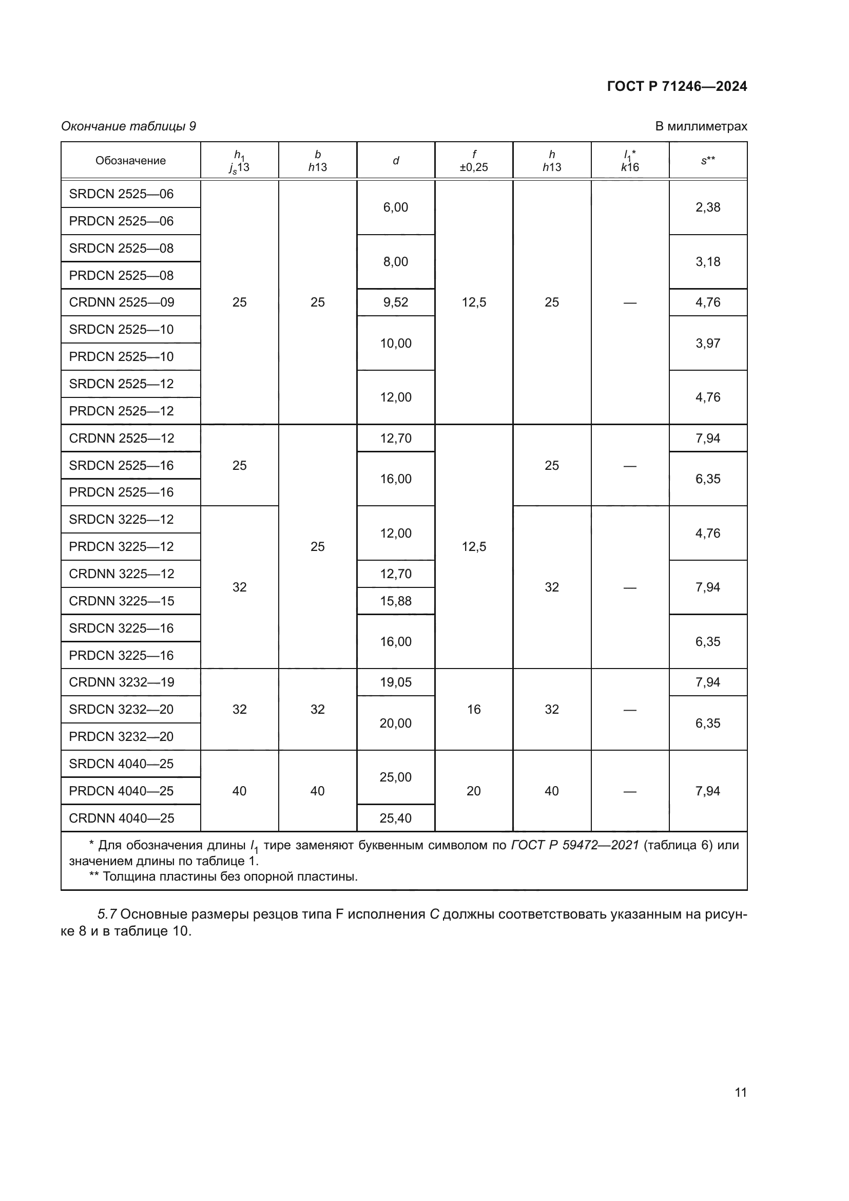
| Название рус.: | Резцы токарные проходные, подрезные и копировальные со сменными многогранными пластинами. Типы и размеры | | Название англ.: | Straight turning, undercutting and copying tool holders with indexable inserts. Types and dimensions | | Дата актуализации текста: | 01.12.2024 | | Дата актуализации описания: | 01.01.2026 | | Дата издания: | 03.07.2024 | | Дата введения: | 01.07.2025 | | Аутентичен стандартам: | ISO 5610-1:2014;ISO 5610-2:2014;ISO 5610-3:2014;ISO 5610-4:2014;ISO 5610-5:2014;ISO 5610-6:2014;ISO 5610-7:2014;ISO 5610-8:2014;ISO 5610-9:2014;ISO 5610-10:2014;ISO 5610-11:2014;ISO 5610-12:2014;ISO 5610-13:2014;ISO 5610-14:2014 ;ISO 5610-15:2014 | | Нормативные ссылки: | ГОСТ 19042; ГОСТ 25003; ГОСТ 27301; ГОСТ Р 59472-2021 | | Область применения: | Настоящий стандарт распространяется на токарные проходные, подрезные и копировальные резцы с прямоугольным сечением державки резца, со сменными многогранными пластинами из твердого сплава, керамики и других режущих материалов, используемых для токарных операций, по ГОСТ 19042, ГОСТ 27301, ГОСТ 25003, и устанавливает предпочтительные типы резцов, относящиеся к ним размеры и определение размеров | |
                                                    
|