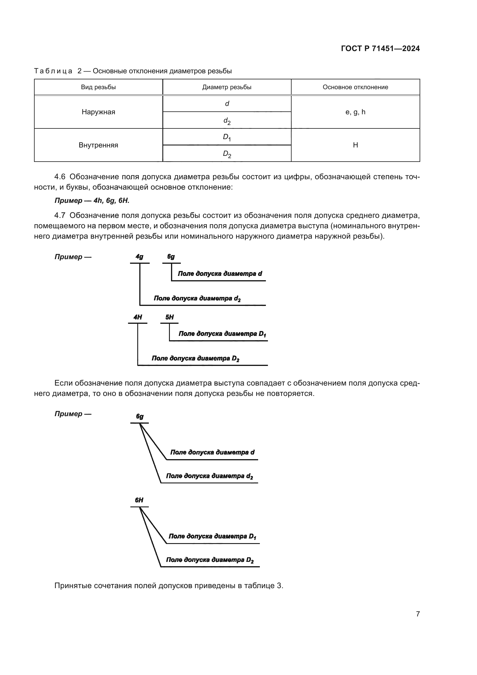
| Обозначение: |  ГОСТ Р 71451-2024 |
| Статус: | действующий |
| Название рус.: | Авиационная техника. Резьба метрическая с увеличенной закругленной формой впадины для диаметров от 1 до 200 мм. Основные размеры и допуски |
| Название англ.: | Aviation technic. Metric thread with increased round down shape for diameters from 1 to 200 mm. Basic dimensions and tolerances |
| Дата актуализации текста: | 01.12.2024 |
| Дата актуализации описания: | 01.12.2024 |
| Дата издания: | 24.06.2024 |
| Дата введения: | 01.08.2024 |
| Нормативные ссылки: | ГОСТ 2.309; ГОСТ 8724; ГОСТ 11708; ГОСТ 16093 |
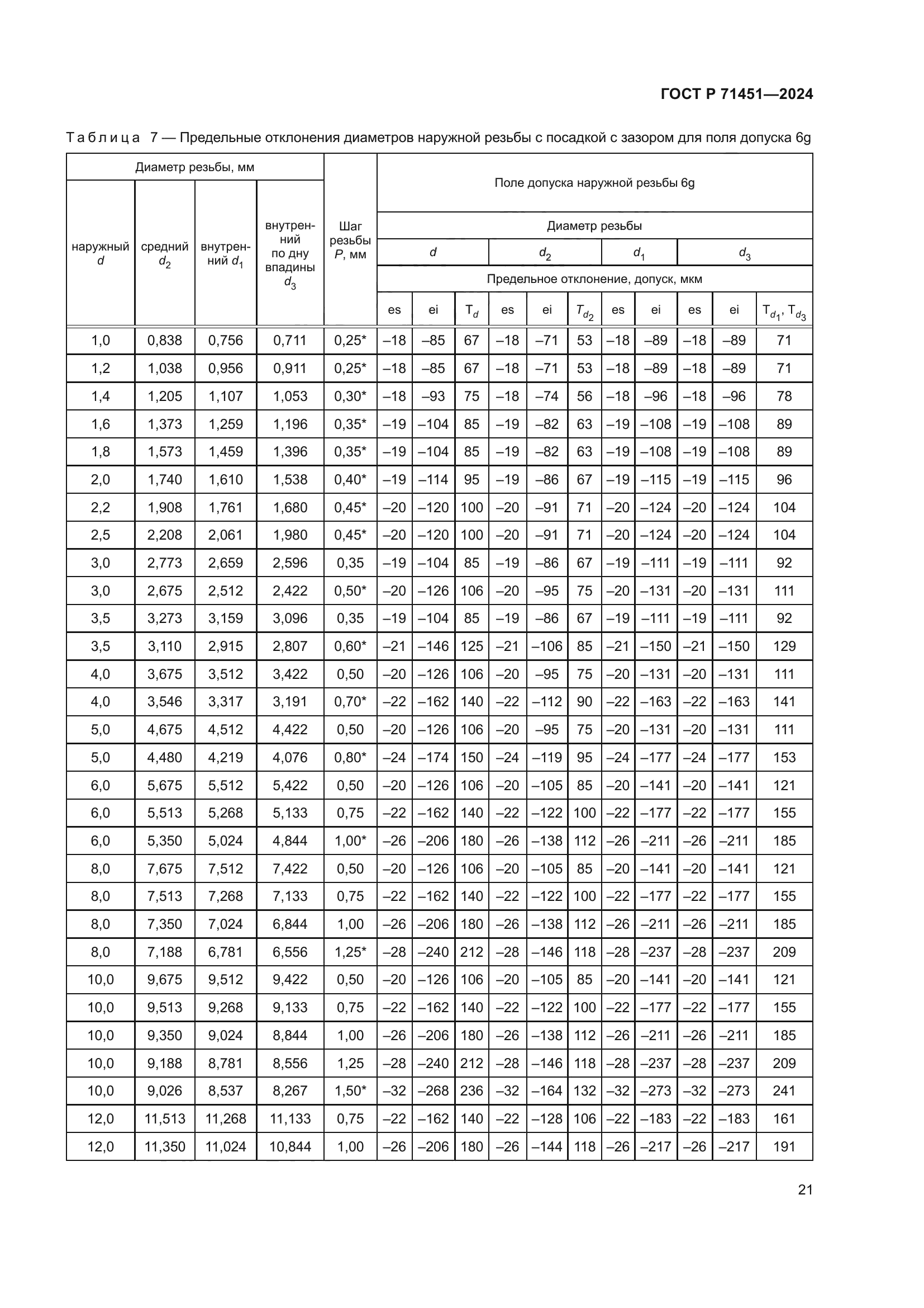
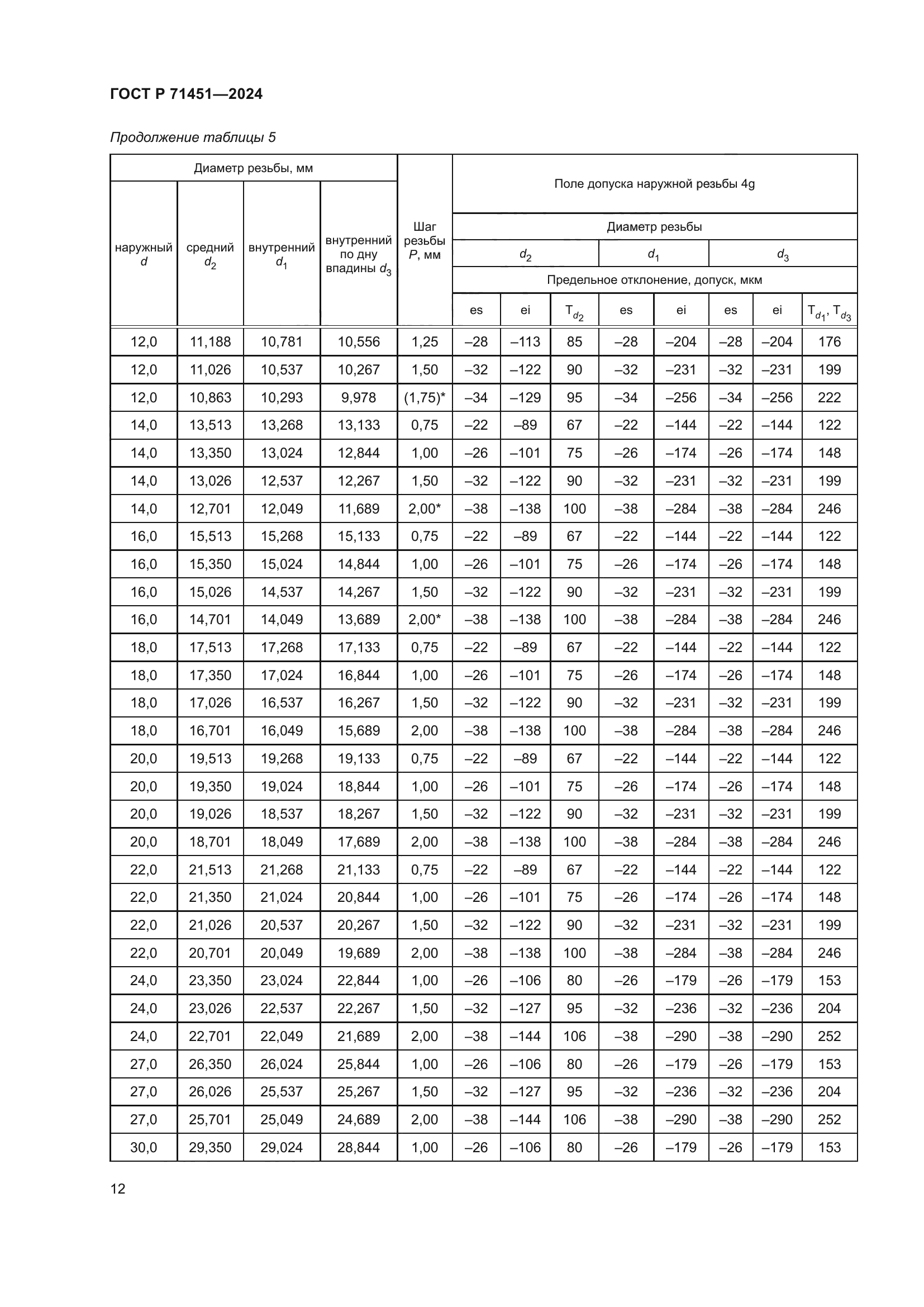
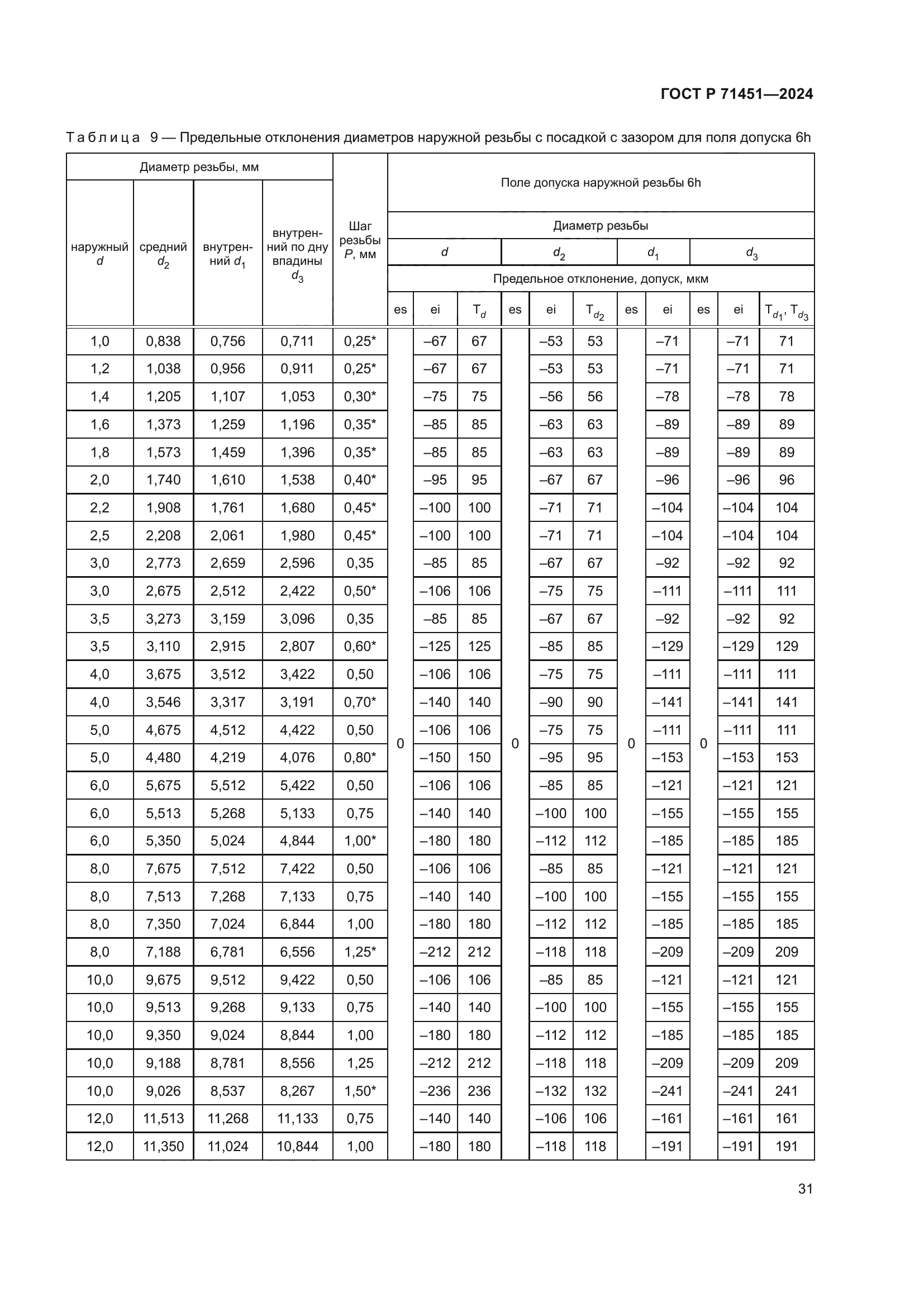
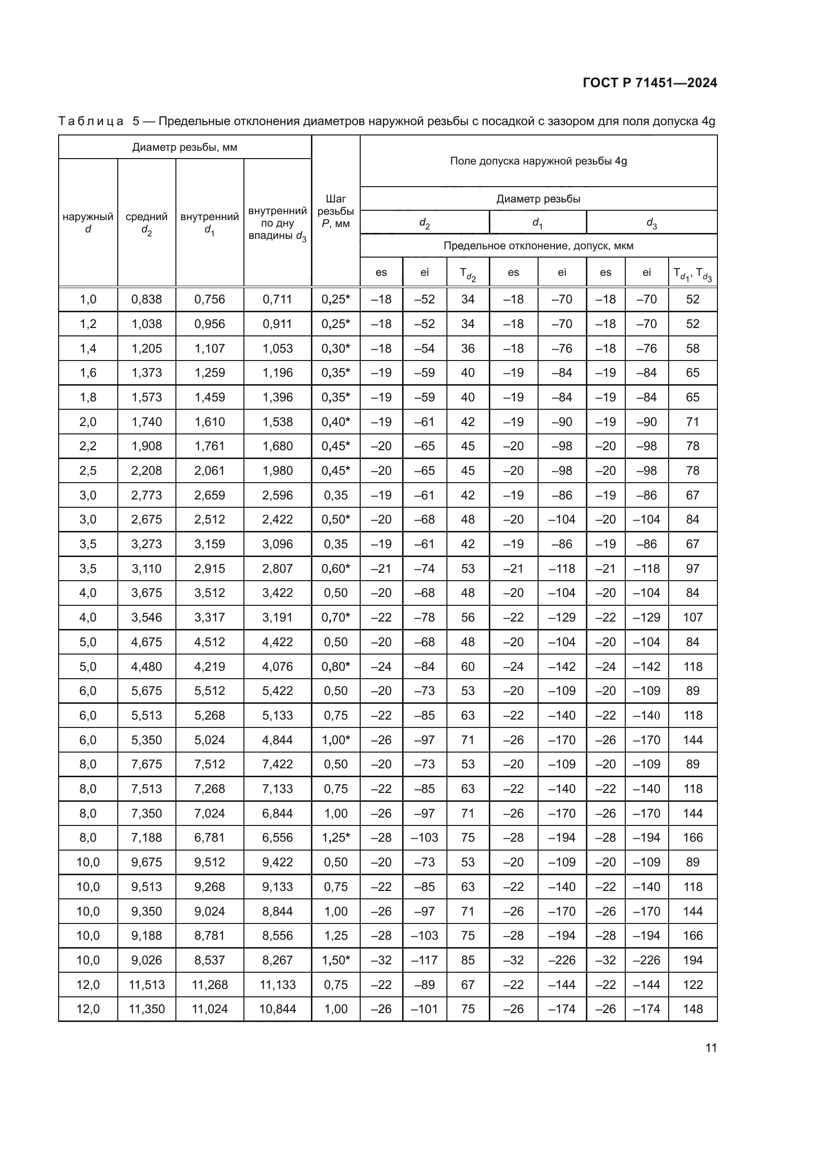
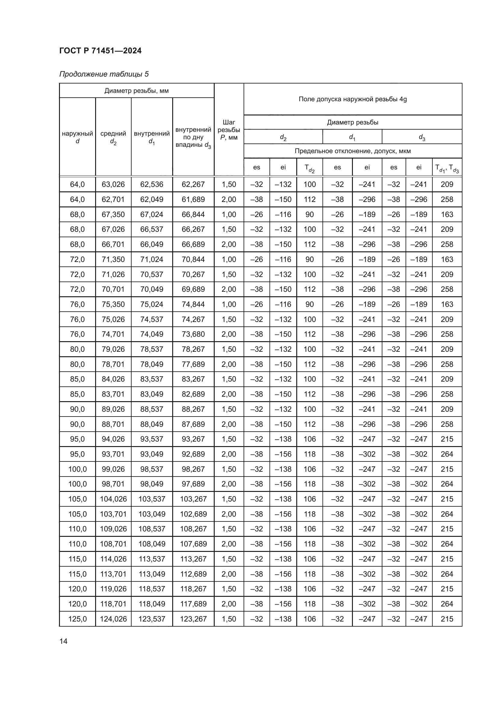
| Область применения: | Настоящий стандарт распространяется на метрические резьбы (далее ? резьбы), применяемые в авиационной технике, с увеличенной закругленной формой впадины наружной резьбы, с увеличенным внутренним диаметром внутренней резьбы и устанавливает их диаметры в диапазоне от 1 до 200 мм и шаги от 0,25 до 2,00 мм по ГОСТ 8724, систему допусков по ГОСТ 16093 |
|