Скачать ГОСТ ISO 14118-2023 Безопасность машин. Предотвращение непреднамеренного пускаДата актуализации: 01.01.2026 ГОСТ ISO 14118-2023
Безопасность машин. Предотвращение непреднамеренного пуска
| Обозначение: |  ГОСТ ISO 14118-2023 |
| Статус: | действующий |
| Название рус.: | Безопасность машин. Предотвращение непреднамеренного пуска | | Название англ.: | Safety of machinery. Prevention of unexpected start-up | | Дата актуализации текста: | 01.12.2024 | | Дата актуализации описания: | 01.01.2026 | | Дата регистрации: | 25.09.2023 | | Дата издания: | 28.06.2024 | | Дата введения: | 01.12.2025 | | Взамен: | ГОСТ ЕН 1037-2002 | | Аутентичен стандартам: | ISO 14118:2017 | | Нормативные ссылки: | ISO 12100:2010;ISO 13849-1;IEC 62061 | | Область применения: | Настоящий стандарт устанавливает требования к встроенным средствам, направленным на предотвращение непреднамеренного пуска машины (см. 3.2) с целью обеспечения безопасного доступа людей в опасные зоны (см. приложение A). Настоящий стандарт применяется к непреднамеренному пуску от всех типов источника энергии, т.е.: - источника питания, например, электрического, гидравлического, пневматического; - накопленной энергии, например, за счет силы тяжести, сжатых пружин; - внешних воздействий, т.е. от ветра | |
                  
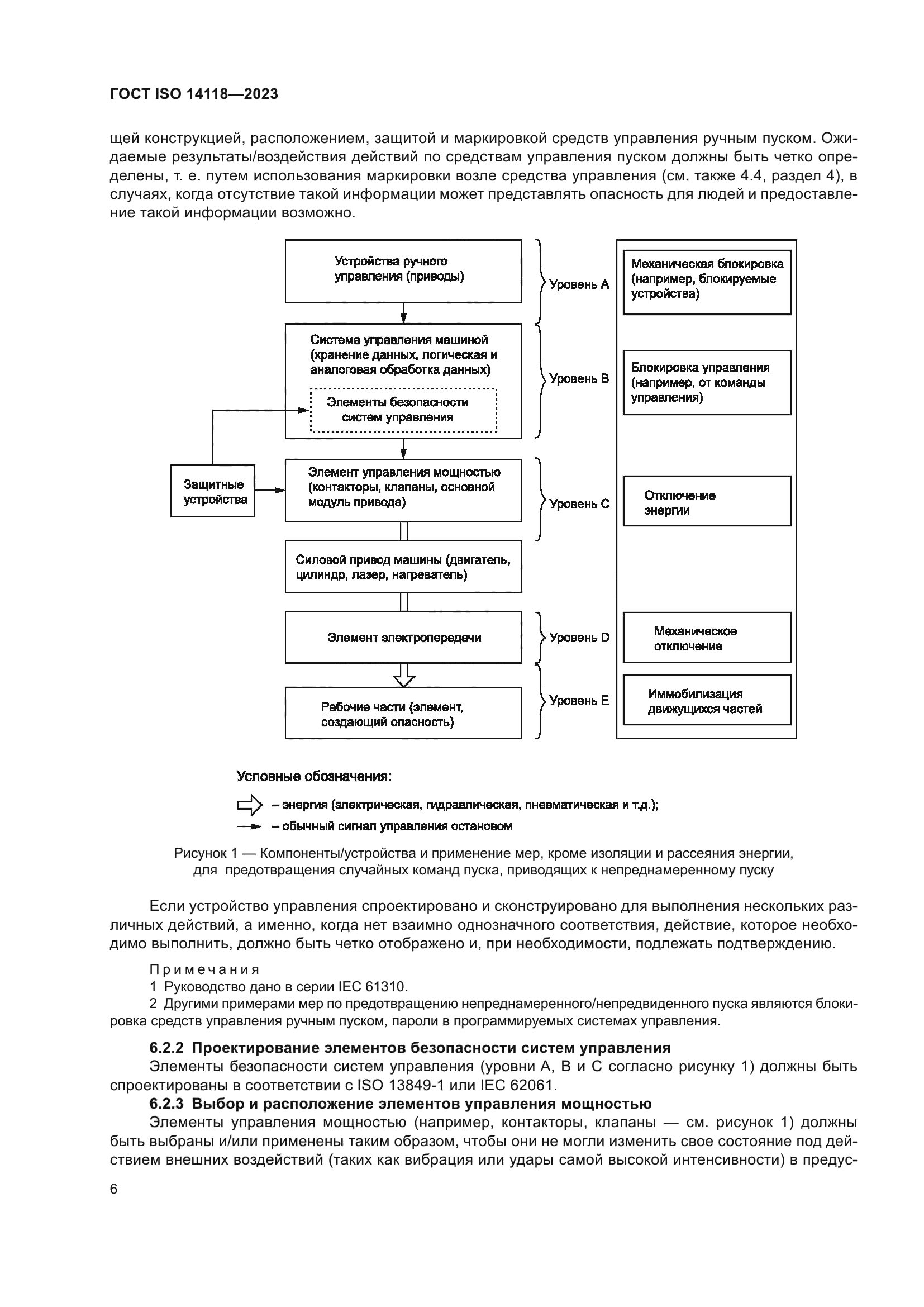
|