| Обозначение: |  ГОСТ Р 71421-2024 |
| Статус: | действующий |
| Название рус.: | Приборы ферритовые сверхвысокочастотного диапазона. Методы измерения коэффициента стоячей волны по напряжению на низком уровне мощности |
| Название англ.: | Microwave ferrite devices. Methods of measurement of voltage standing wave ratio at low power level |
| Дата актуализации текста: | 01.12.2024 |
| Дата актуализации описания: | 01.06.2025 |
| Дата издания: | 21.06.2024 |
| Дата введения: | 01.03.2025 |
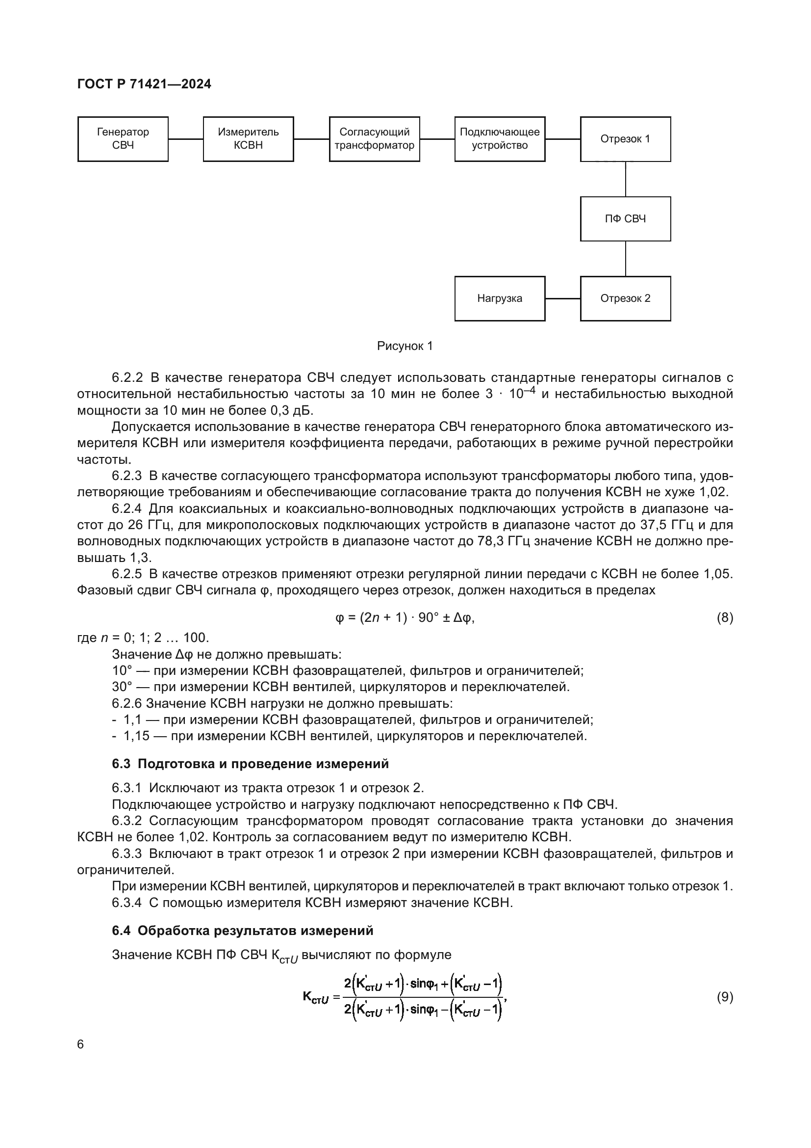
| Нормативные ссылки: | ГОСТ 12.1.006; ГОСТ 12.2.003; ГОСТ 22261; ГОСТ 23769 |
| Область применения: | Настоящий стандарт распространяется на приборы ферритовые сверхвысокочастотного диапазона (ПФ СВЧ): вентили, циркуляторы, переключатели, фазовращатели, фильтры и ограничители СВЧ низкого уровня мощности и устанавливает методы измерения коэффициента стоячей волны по напряжению (КСВН) ПФ СВЧ |
|