| Обозначение: |  ГОСТ Р 70874.1-2024 |
| Статус: | действующий |
| Название рус.: | Конструкции для удаления дымовых газов. Внутренние трубы из керамики. Часть 1. Внутренние трубы для сухого режима эксплуатации. Требования и методы испытания |
| Название англ.: | Constructions for removing flue gases. Ceramic inner pipes. Part 1. Internal pipes for dry operation mode. Requirements and test methods |
| Дата актуализации текста: | 01.12.2024 |
| Дата актуализации описания: | 01.12.2024 |
| Дата издания: | 28.05.2024 |
| Дата введения: | 01.07.2024 |
| Нормативные ссылки: | ГОСТ 5632; ГОСТ 10632; ГОСТ Р 53299; ГОСТ Р 53321; ГОСТ Р 57356; ГОСТ Р 59412; ГОСТ Р ИСО 2859-1; ГОСТ Р ИСО 9001 |
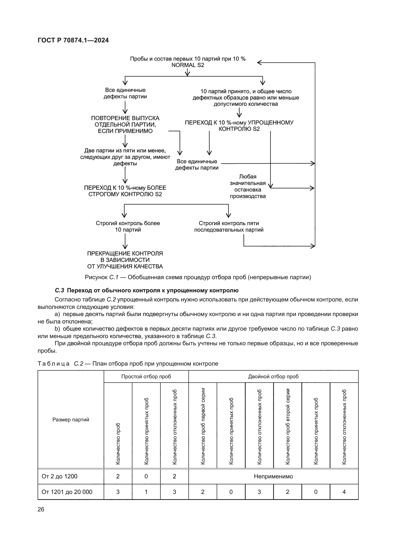
| Область применения: | Настоящий стандарт устанавливает требования и методы испытаний внутренних керамических труб со сплошной стенкой или стенкой с вертикальными отверстиями, которые используются в многослойных конструкциях для удаления дымовых газов в сухом режиме эксплуатации и служат для отвода продуктов сгорания в атмосферу от источников тепла, работающих при разрежении или избыточном давлении. Настоящий стандарт распространяется на внутренние трубы, предназначенные для отвода продуктов сгорания от бытовых и промышленных установок, которые не являются отдельно стоящими сооружениями. Настоящий стандарт содержит перечень требований к внутренним трубам и фасонным элементам заводского изготовления. Он также содержит требования к термическим испытаниям труб с теплоизоляцией или без нее, требования к обозначению и контролю качества. Кроме того, стандарт определяет минимальные требования к маркировке, инструкциям и информации об изделии и представляет собой руководство по оценке и проверке постоянства качества выпускаемой продукции (AVCP). Настоящий стандарт не распространяется на внутренние трубы, эксплуатируемые во влажном режиме, а также на отдельно стоящие конструкции для удаления дымовых газов |
|