| Обозначение: |  ГОСТ Р МЭК 63056-2024 |
| Статус: | действующий |
| Название рус.: | Аккумуляторы и аккумуляторные батареи, содержащие щелочной или другие некислотные электролиты. Аккумуляторы и батареи литиевые для использования в системах накопления электрической энергии. Требования безопасности и методы испытаний |
| Название англ.: | Secondary cells and batteries containing alkaline or other non-acid electrolytes. Lithium secondary cells and batteries for use in electrical energy storage systems. Safety requirements and test methods |
| Дата актуализации текста: | 01.06.2024 |
| Дата актуализации описания: | 01.12.2024 |
| Дата издания: | 26.04.2024 |
| Дата введения: | 01.12.2024 |
| Аутентичен стандартам: | IEC 63056(2020)+Cor.1(2021) |
| Нормативные ссылки: | ISO/IEC Guide 51;IEC 60050-482;IEC 60695-10-2;IEC 60695-11-10;IEC 60950-1(2005);IEC 62619;IEC 62620(2014) |
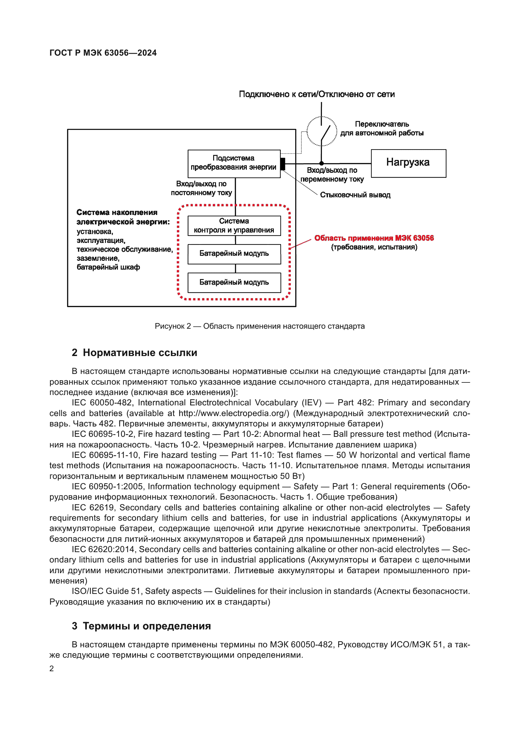
| Область применения: | Настоящий стандарт распространяется на литиевые аккумуляторы и батареи для использования в системах накопления электрической энергии (см. рисунок 2) с максимальным напряжением постоянного тока 1500 В (номинальное), в том числе аккумуляторы и батареи для источников бесперебойного питания (ИБП) и устанавливает требования безопасности и методы испытания безопасности литиевых аккумуляторов и батарей. Основные требования безопасности литиевых аккумуляторов и батарей, используемых в промышленности, установлены в МЭК 62619. Настоящий стандарт устанавливает дополнительные или особые требования для аккумуляторов и батарей для систем накопления электрической энергии |
|