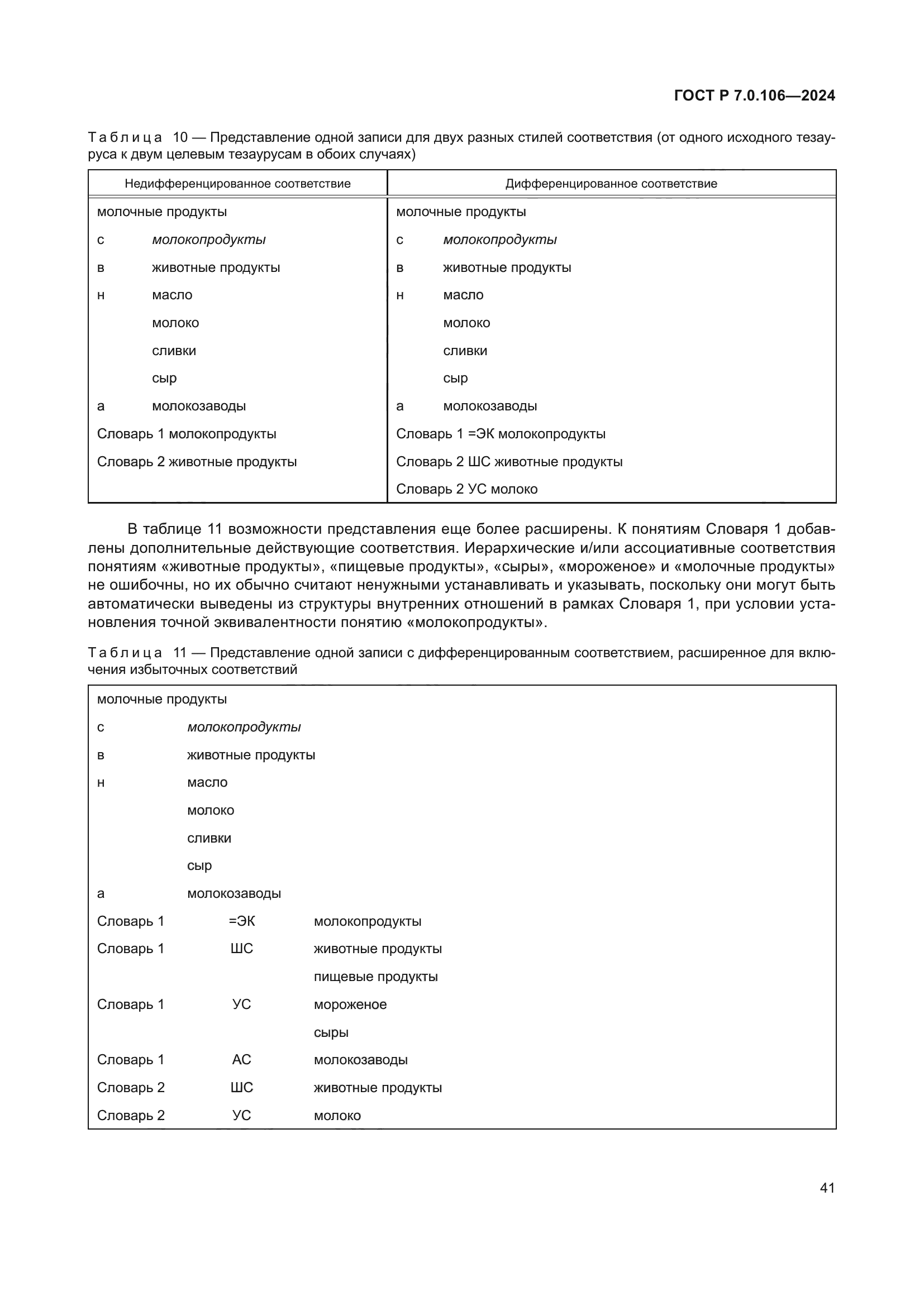
Скачать ГОСТ Р 7.0.106-2024 Система стандартов по информации, библиотечному и издательскому делу. Взаимодействие тезаурусов и других словарейДата актуализации: 01.06.2025 ГОСТ Р 7.0.106-2024
Система стандартов по информации, библиотечному и издательскому делу. Взаимодействие тезаурусов и других словарей
| Обозначение: |  ГОСТ Р 7.0.106-2024 |
| Статус: | действующий |
| Название рус.: | Система стандартов по информации, библиотечному и издательскому делу. Взаимодействие тезаурусов и других словарей | | Название англ.: | System of standards on information, librarianship and publishing. Interoperability of thesauri and other vocabularies | | Дата актуализации текста: | 01.06.2024 | | Дата актуализации описания: | 01.06.2024 | | Дата издания: | 21.03.2024 | | Дата введения: | 01.05.2024 | | Содержит требования: | ISO 25964-2:2013 | | Нормативные ссылки: | ГОСТ 7.24; ГОСТ 7.59; ГОСТ 7.75; ГОСТ Р 7.0.66; ГОСТ Р 7.0.91-2015; ГОСТ Р ИСО 704-2010; ГОСТ Р ИСО 15489-1 | | Область применения: | В настоящем стандарте описаны методы сопоставления структуры и элементов тезаурусов и других типов словарей, которые обычно используются для поиска информации. В нем описываются, сравниваются и противопоставляются элементы и особенности этих словарей, которые влияют на совместимость. Настоящий стандарт дает рекомендации по созданию и поддержанию соответствий между несколькими тезаурусами или между тезаурусами и другими типами словарей | |
                                                                                        
|