Скачать ГОСТ Р 8.1032-2024 Ацетон жидкий и газообразный. Плотность, энтальпия, энтропия, изохорная и изобарная теплоемкости при температурах от 180 К до 550 К и давлениях до 100 МПаДата актуализации: 01.06.2025 ГОСТ Р 8.1032-2024
Ацетон жидкий и газообразный. Плотность, энтальпия, энтропия, изохорная и изобарная теплоемкости при температурах от 180 К до 550 К и давлениях до 100 МПа
| Обозначение: |  ГОСТ Р 8.1032-2024 |
| Статус: | действующий |
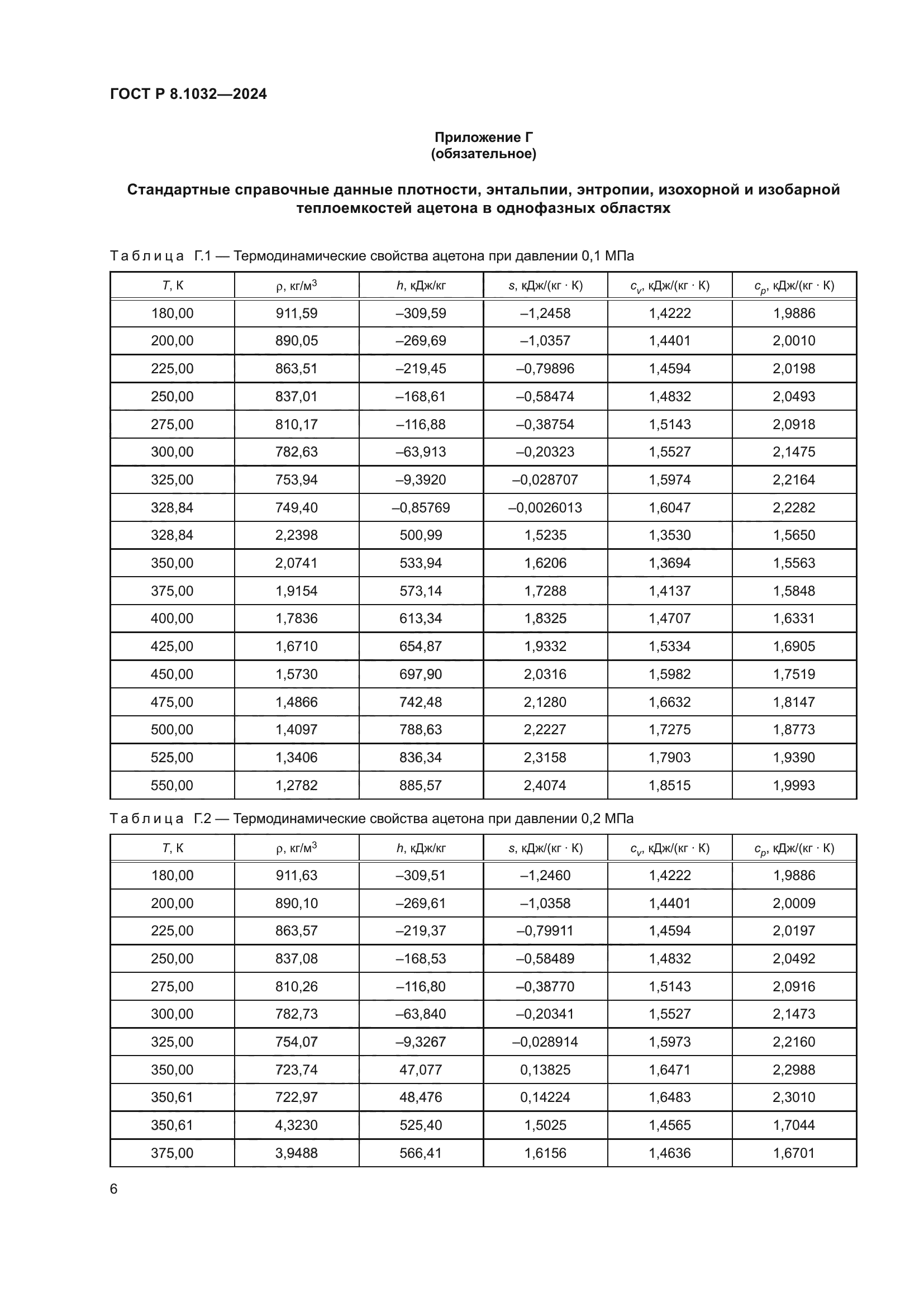
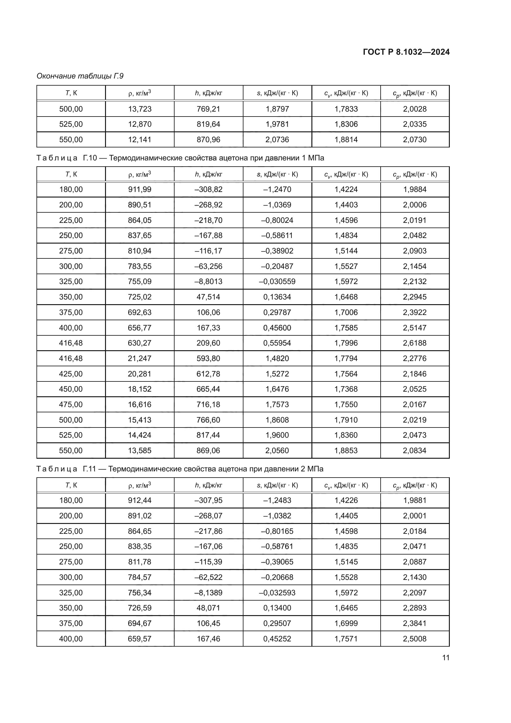
| Название рус.: | Ацетон жидкий и газообразный. Плотность, энтальпия, энтропия, изохорная и изобарная теплоемкости при температурах от 180 К до 550 К и давлениях до 100 МПа | | Название англ.: | Acetone liquid and gaseous. Density, enthalpy, entropy, isochoric and isobaric heat capacities at temperatures from 180 K to 550 K and pressures up to 100 MPa | | Дата актуализации текста: | 01.06.2024 | | Дата актуализации описания: | 01.12.2024 | | Дата издания: | 18.03.2024 | | Дата введения: | 01.12.2024 | | Область применения: | Настоящий стандарт распространяется на ацетон, параметры состояния которого соответствуют газообразной, жидкой и сверхкритической областям. Стандарт устанавливает методы расчетного определения значений стандартных справочных данных по плотности , энтальпии h, энтропии s, изобарной теплоемкости cp и изохорной теплоемкости cv в однофазных областях (газ, жидкость и флюид) | |
                      
|