| Обозначение: |  ГОСТ 18097-2024 |
| Статус: | действующий |
| Название рус.: | Станки токарно-винторезные и токарные. Основные размеры. Нормы точности |
| Название англ.: | Screw-cutting lathes and lathes. Basic dimensions. Standards of accuracy |
| Дата актуализации текста: | 01.12.2024 |
| Дата актуализации описания: | 01.12.2024 |
| Дата регистрации: | 31.01.2024 |
| Дата издания: | 27.02.2024 |
| Дата введения: | 01.06.2024 |
| Взамен: | ГОСТ 18097-93 |
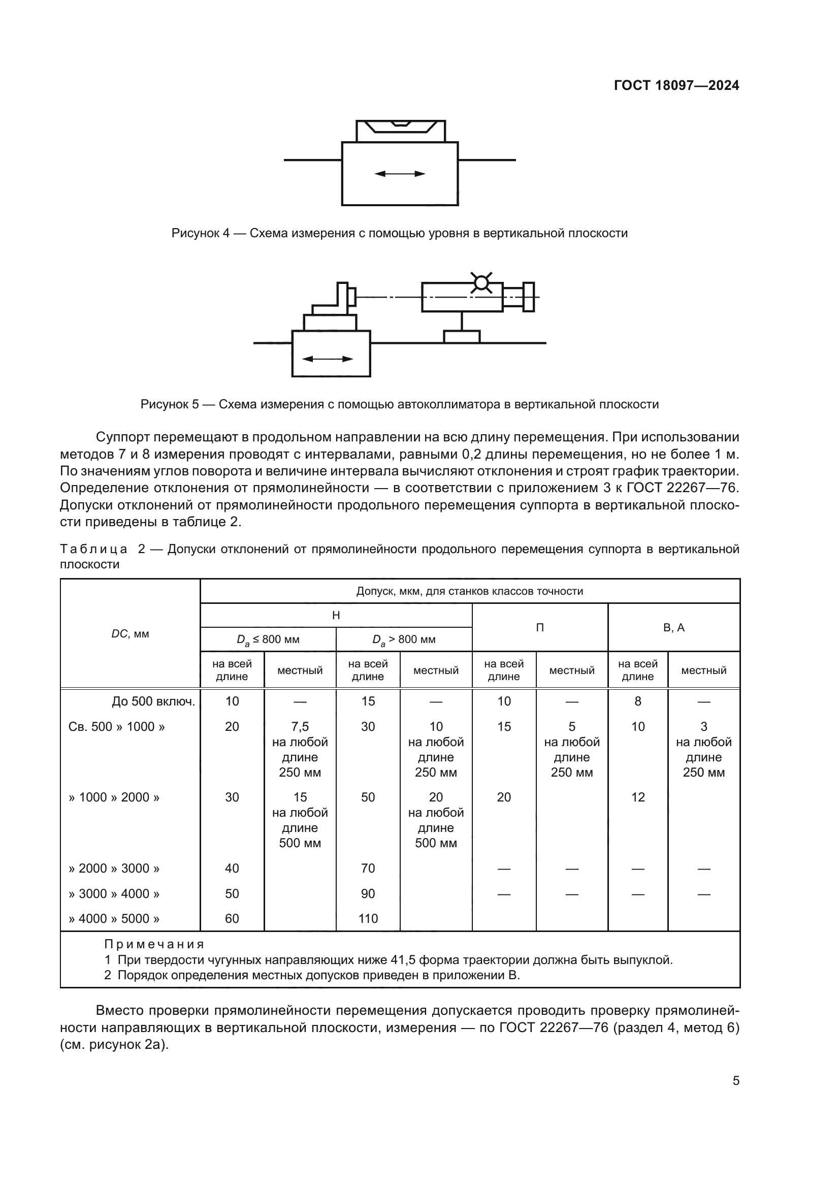
| Нормативные ссылки: | ГОСТ 8; ГОСТ 6636; ГОСТ 8026; ГОСТ 12593; ГОСТ 12595; ГОСТ 22267-76; ГОСТ 24643; ГОСТ 25346; ГОСТ 25443; ГОСТ 25889.1; ГОСТ 25889.4; ГОСТ 26651 |
| Область применения: | Настоящий стандарт распространяется на универсальные токарно-винторезные и токарные станки с горизонтальным шпинделем прецизионные. Стандарт не распространяется на специальные станки и станки, предназначенные для учебных и бытовых целей. Наименования используемых для проверки станков средств измерений с их основными метрологическими характеристиками и средств контроля с предъявляемыми к ним основными техническими требованиями приведены в приложении А |
| Приложение №1: | Поправка к ГОСТ 18097-2024 |
|