| Обозначение: |  ГОСТ 25250-2023 |
| Статус: | действующий |
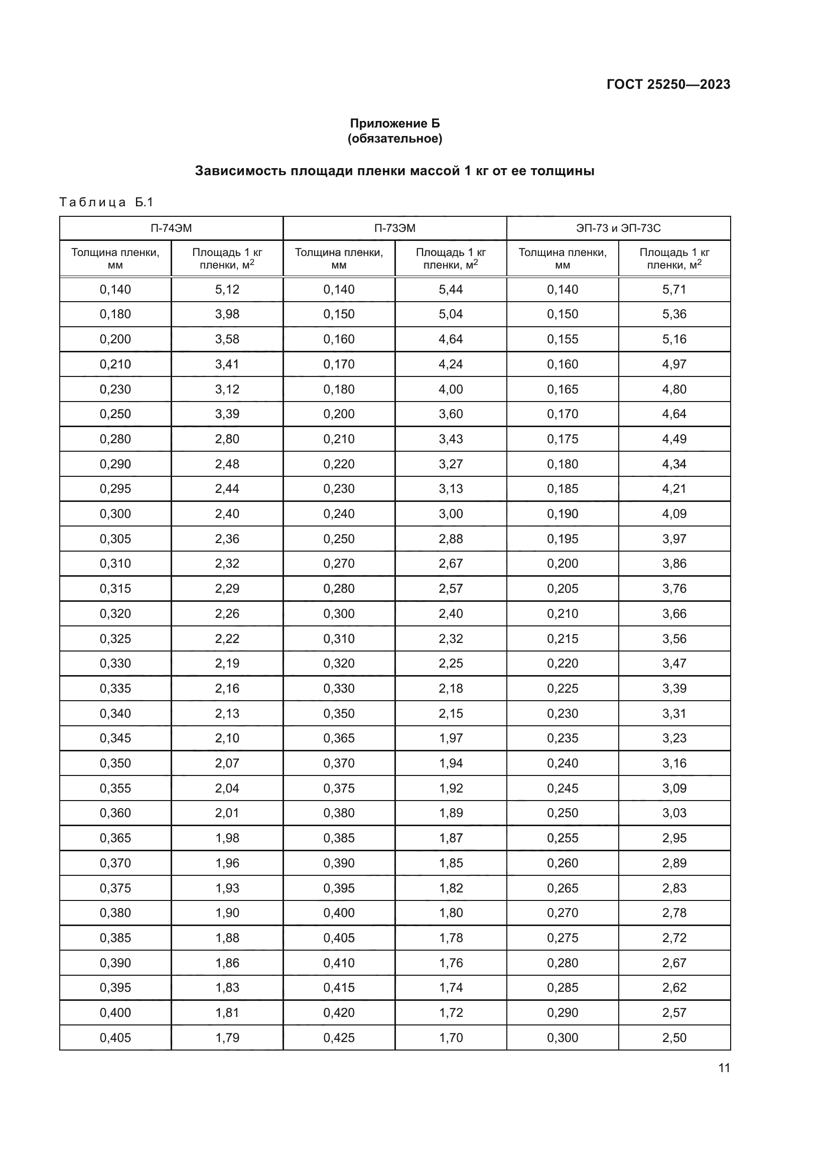
| Название рус.: | Пленка поливинилхлоридная для изготовления упаковки пищевой продукции, лекарственных средств и изделий медицинского назначения. Технические условия |
| Название англ.: | Polyvinyl chloride film for packaging food and medicines. Specifications |
| Дата актуализации текста: | 01.06.2024 |
| Дата актуализации описания: | 01.06.2024 |
| Дата регистрации: | 01.03.2024 |
| Дата издания: | 27.02.2024 |
| Дата введения: | 01.03.2024 |
| Взамен: | ГОСТ 25250-88 |
| Нормативные ссылки: | ГОСТ 12.1.003; ГОСТ 12.1.004; ГОСТ 12.1.005; ГОСТ 12.1.007; ГОСТ 12.1.010; ГОСТ 12.1.012; ГОСТ 12.1.018; ГОСТ 12.1.019; ГОСТ 12.1.030; ГОСТ 12.4.021; ГОСТ 427; ГОСТ 4650; ГОСТ 5960; ГОСТ 12423; ГОСТ 14192; ГОСТ 14236; ГОСТ 15088; ГОСТ 16299; ГОСТ 16783; ГОСТ 17035; ГОСТ 17527; ГОСТ 21650; ГОСТ 24597; ГОСТ 26663; ГОСТ 33757; ГОСТ 34757;ГОСТ ISO 6401 |
| Область применения: | Настоящий стандарт устанавливает требования к поливинилхлоридной пленке (далее – пленка), предназначенной для изготовления упаковки пищевой продукции, лекарственных средств и изделий медицинского назначения |
|