Скачать ГОСТ ISO 6165-2015 Машины землеройные. Основные типы. Идентификация, термины и определенияДата актуализации: 01.06.2025 ГОСТ ISO 6165-2015
Машины землеройные. Основные типы. Идентификация, термины и определения
| Обозначение: |  ГОСТ ISO 6165-2015 |
| Статус: | действующий |
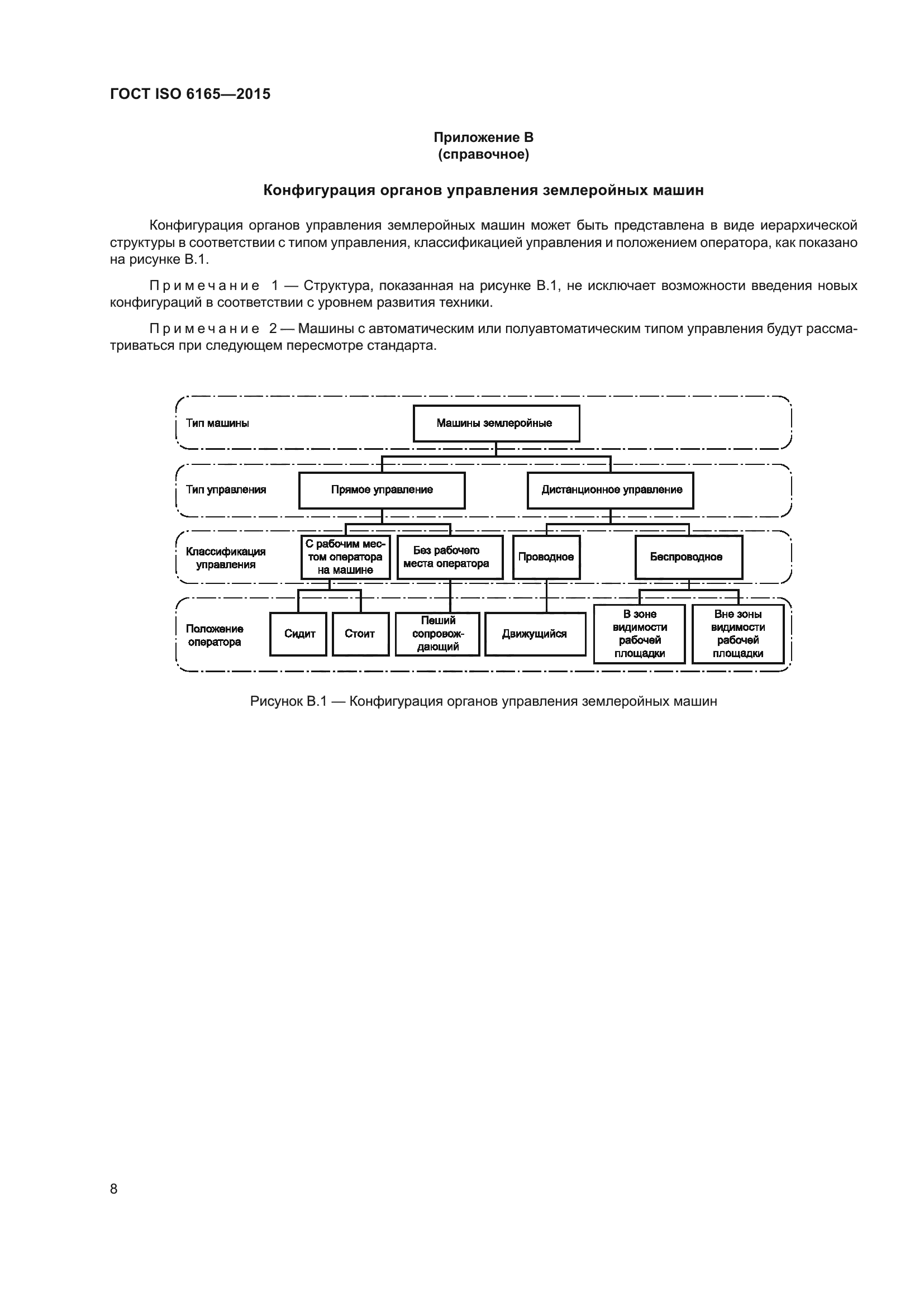
| Название рус.: | Машины землеройные. Основные типы. Идентификация, термины и определения | | Название англ.: | Earth-moving machinery. Basic types. Identification and terms and definitions | | Дата актуализации текста: | 01.12.2024 | | Дата актуализации описания: | 01.01.2025 | | Дата регистрации: | 27.02.2015 | | Дата издания: | 27.02.2024 | | Дата введения: | 01.01.2025 | | Аутентичен стандартам: | ISO 6165:2012 | | Нормативные ссылки: | ISO 10261:2002 | | Область применения: | Настоящий стандарт устанавливает термины и определения, а также структуру идентификации для классификации землеройных машин, предназначенных для выполнения следующих операций: - выемки; - погрузки; - транспортирования; - бурения, распределения, уплотнения, срезания или выемки земли, скального грунта и других материалов при проведении работ, например, на дорогах или дамбах, в карьерах или выработках, а также на строительных площадках. Настоящий стандарт предназначен для обеспечения четкой идентификации машин в соответствии с их функциональным назначением и конструктивными особенностями | | Приложение №1: | Поправка к ГОСТ ISO 6165-2015 | |
                
Поправка к ГОСТ ISO 6165-2015
| Обозначение: | Поправка к ГОСТ ISO 6165-2015 |
| Дата введения: | 17.07.2024 |
|