Скачать ГОСТ EN 16956-2020 Продукция парфюмерно-косметическая для отбеливания кожи. Аналитические методы. Обнаружение и количественное определение гидрохинона, эфиров гидрохинона и кортикостероидов методом ВЭЖХ/УФДата актуализации: 01.06.2025 ГОСТ EN 16956-2020
Продукция парфюмерно-косметическая для отбеливания кожи. Аналитические методы. Обнаружение и количественное определение гидрохинона, эфиров гидрохинона и кортикостероидов методом ВЭЖХ/УФ
| Обозначение: |  ГОСТ EN 16956-2020 |
| Статус: | действующий |
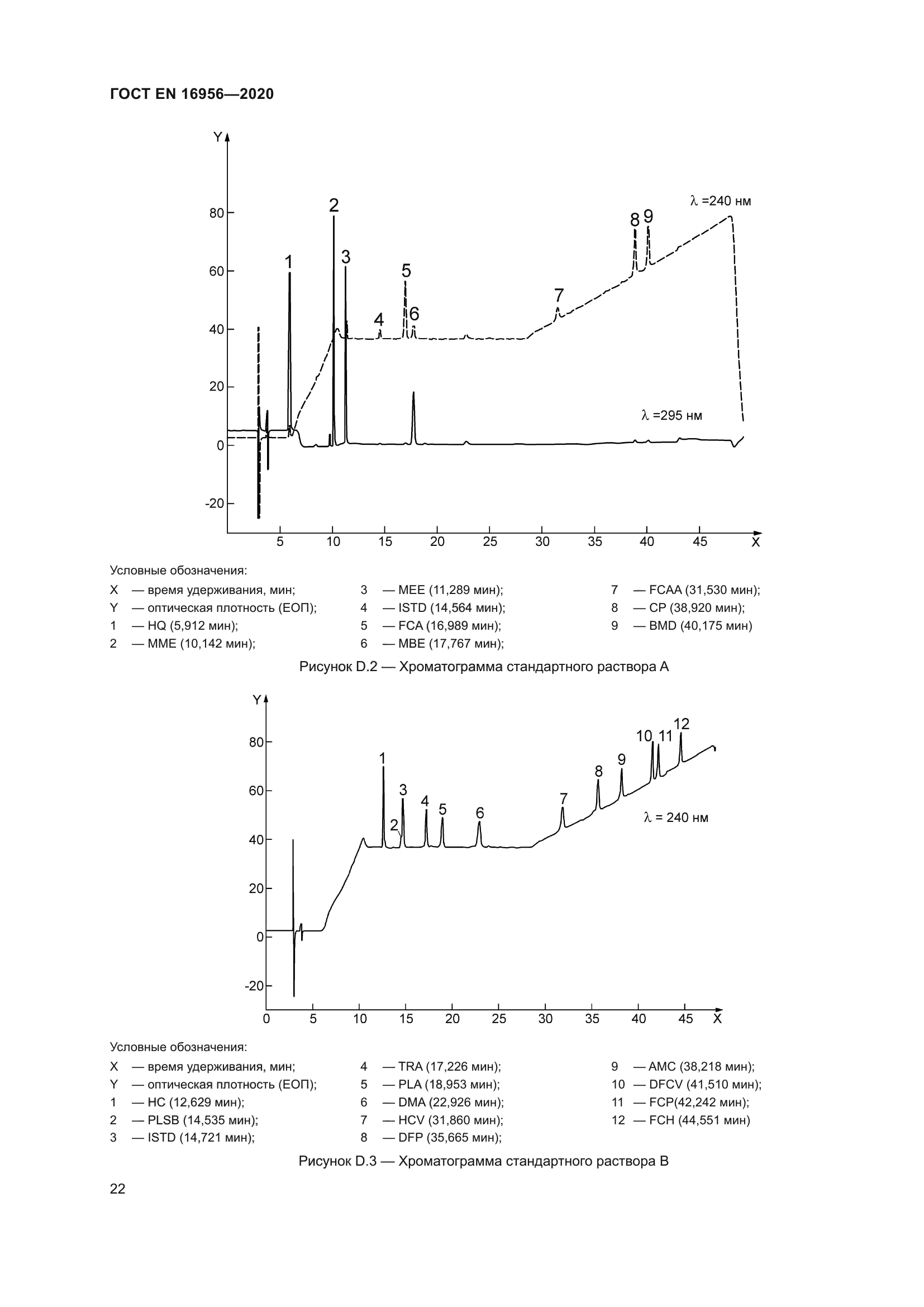
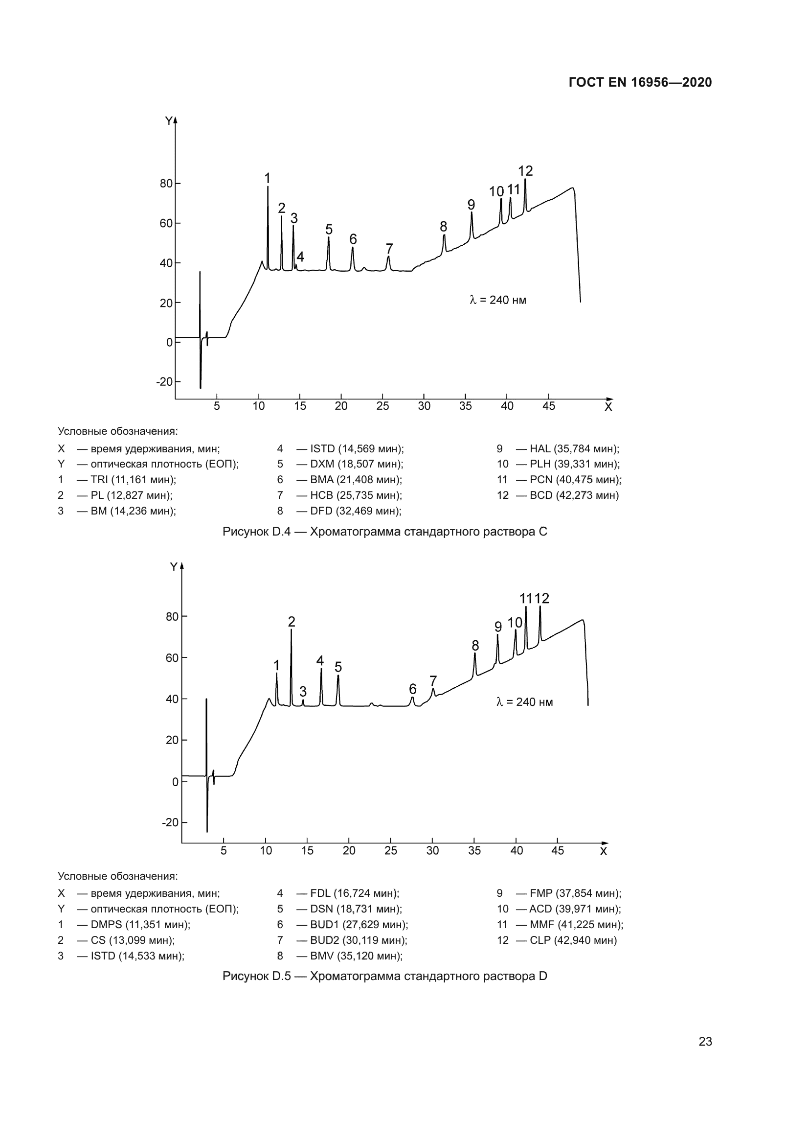
| Название рус.: | Продукция парфюмерно-косметическая для отбеливания кожи. Аналитические методы. Обнаружение и количественное определение гидрохинона, эфиров гидрохинона и кортикостероидов методом ВЭЖХ/УФ | | Название англ.: | Skin whitening cosmetics. Analytical methods. Detection and quantification of hydroquinone, esters hydroquinone and corticosteroids by method HPLC/UV | | Дата актуализации текста: | 01.06.2024 | | Дата актуализации описания: | 01.01.2025 | | Дата регистрации: | 30.01.2020 | | Дата издания: | 18.01.2024 | | Дата введения: | 01.01.2025 | | Аутентичен стандартам: | EN 16956:2017 | | Область применения: | Настоящий стандарт устанавливает метод высокоэффективной жидкостной хроматографии с детектированием в ультрафиолетовой области спектра (ВЭЖХ/УФ) для идентификации и количественного определения гидрохинона, трех эфиров гидрохинона и четырех кортикостероидов, которые наиболее часто обнаруживаются в незаконно реализуемой отбеливающей парфюмерно-косметической продукции для кожи: клобетазола пропионат, флуоцинонид, бетаметазона дипропинат, флуоцинолона ацетонид | |
                              
|