| Обозначение: |  ГОСТ Р 71154-2023 |
| Статус: | действующий |
| Название рус.: | Конструкции поддерживающие для опор железнодорожной контактной сети и узлы их крепления. Общие технические условия |
| Название англ.: | Supporting constructions and their fastening elements for railway overhead contact system. General specifications |
| Дата актуализации текста: | 01.06.2024 |
| Дата актуализации описания: | 01.12.2024 |
| Дата издания: | 19.01.2024 |
| Дата введения: | 01.06.2024 |
| Нормативные ссылки: | ГОСТ 2.114-2016; ГОСТ 9.307; ГОСТ 14.201-83; ГОСТ 15.309-98; ГОСТ 20.57.406-81; ГОСТ 166; ГОСТ 380; ГОСТ 397; ГОСТ 427; ГОСТ 535; ГОСТ 868; ГОСТ 1232; ГОСТ 1759.0; ГОСТ 2712; ГОСТ 2789; ГОСТ 3242-79; ГОСТ 3749; ГОСТ 5915; ГОСТ 6357; ГОСТ 7502; ГОСТ 7798; ГОСТ 8240; ГОСТ 8486-86; ГОСТ 8509; ГОСТ 8733; ГОСТ 12393; ГОСТ 13837; ГОСТ 14004; ГОСТ 14771; ГОСТ 15150-69; ГОСТ 15845; ГОСТ 16337; ГОСТ 16338; ГОСТ 16504; ГОСТ 18311; ГОСТ 19281; ГОСТ 19300; ГОСТ 19330; ГОСТ 20022.2; ГОСТ 23118-2019; ГОСТ 23216; ГОСТ 24291; ГОСТ 24851; ГОСТ 27396; ГОСТ 27772; ГОСТ 30631; ГОСТ 32192; ГОСТ 32679-2014; ГОСТ 32895; ГОСТ 33477; ГОСТ 33797; ГОСТ 33889;ГОСТ ISO 898-1;ГОСТ ISO 898-2;ГОСТ ISO 4759-3; ГОСТ Р 8.568; ГОСТ Р 9.316-2006; ГОСТ Р 50779.12-2021; ГОСТ Р 58513; ГОСТ Р 58514;СП 53-101-98;СП 131.13330.2020;СП 224.1326000.2014;СП 226.1326000.2014 |
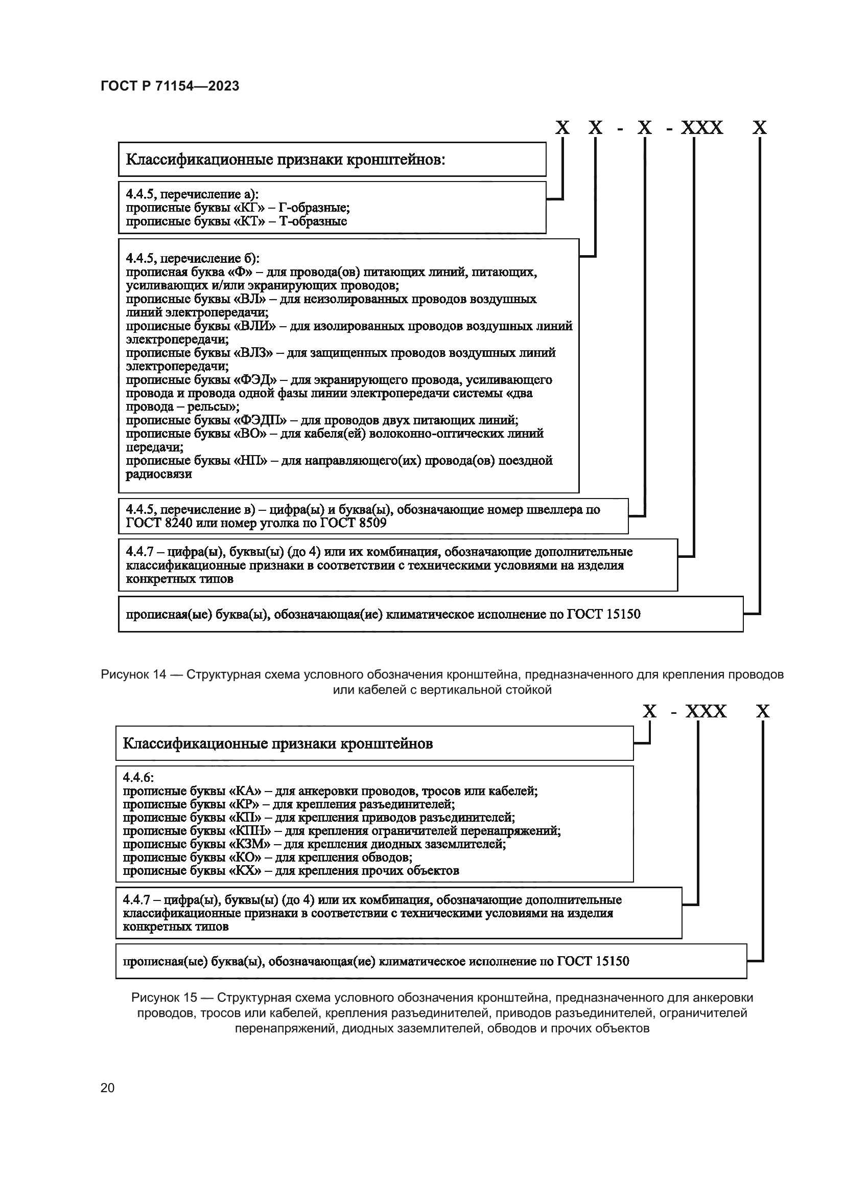
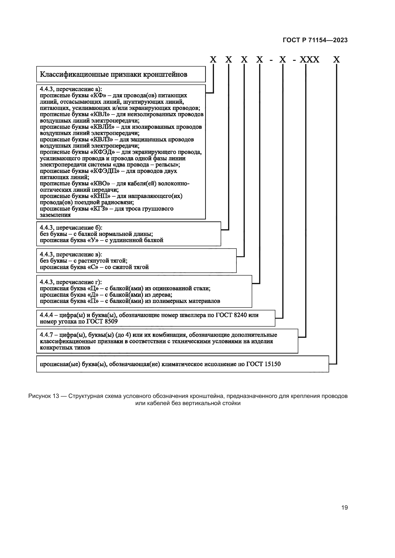
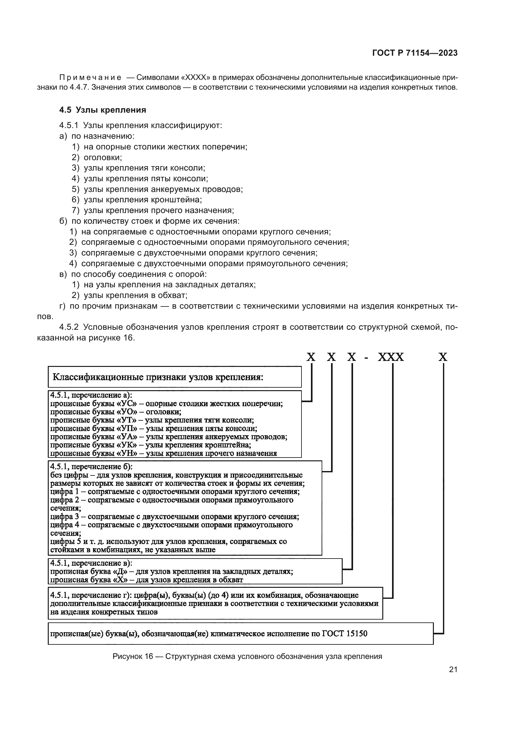
| Область применения: | Настоящий стандарт распространяется на поддерживающие конструкции для опор железнодорожной контактной сети (консоли, фиксаторы и кронштейны) и узлы их крепления (далее совместно именуемые «изделия»). Стандарт не распространяется на ригели жестких поперечин по ГОСТ 33797 |
|