| Обозначение: |  ГОСТ Р 71114-2023 |
| Статус: | действующий |
| Название рус.: | Система стандартов реализации климатических проектов. Методика расчета массового расхода парникового газа в газовом потоке |
| Название англ.: | System of standards for implementing climate projects. Tool to determine the mass flow of a greenhouse gas in a gaseous stream |
| Дата актуализации текста: | 01.01.2024 |
| Дата актуализации описания: | 01.12.2024 |
| Дата издания: | 15.12.2023 |
| Дата введения: | 01.06.2024 |
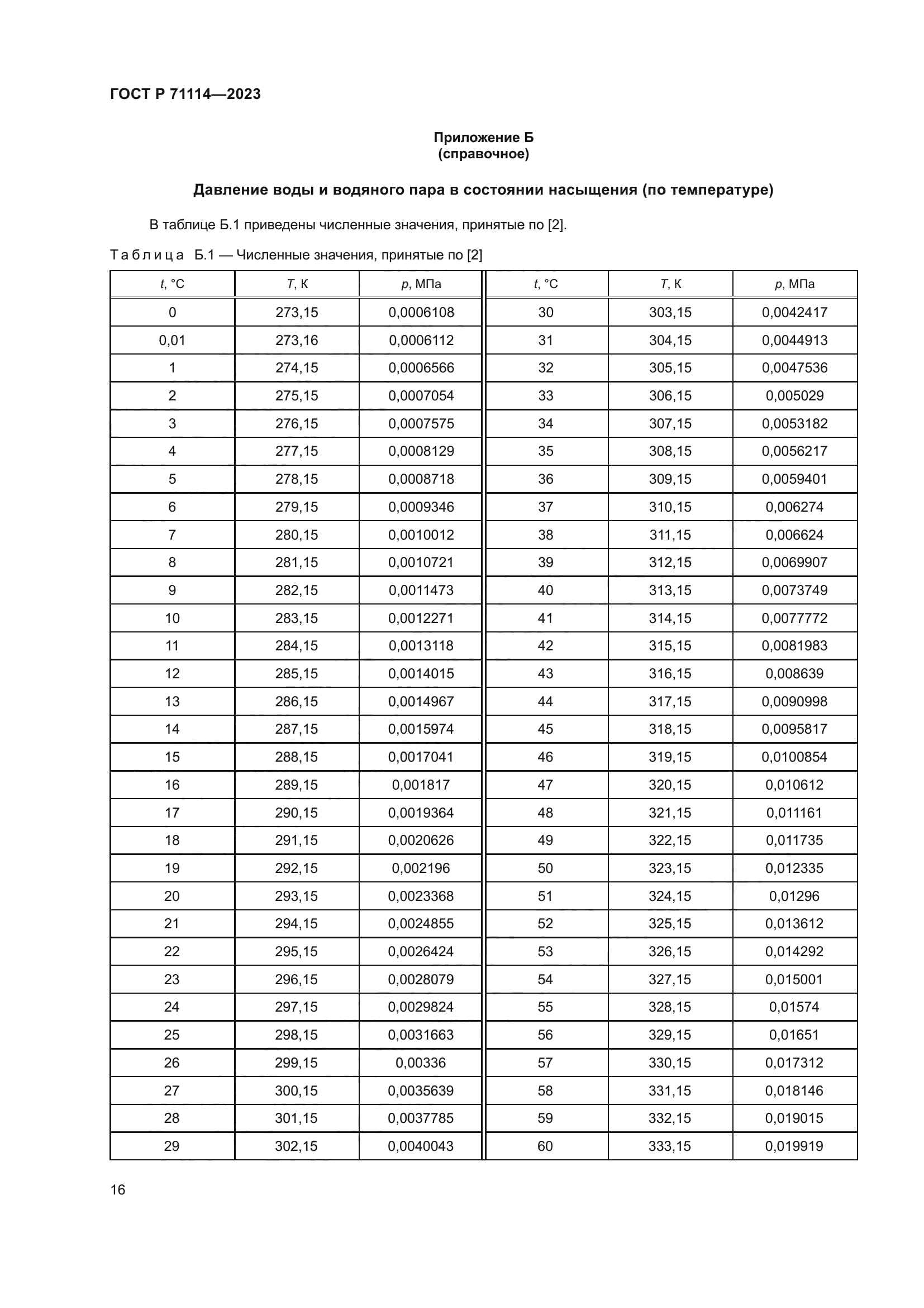
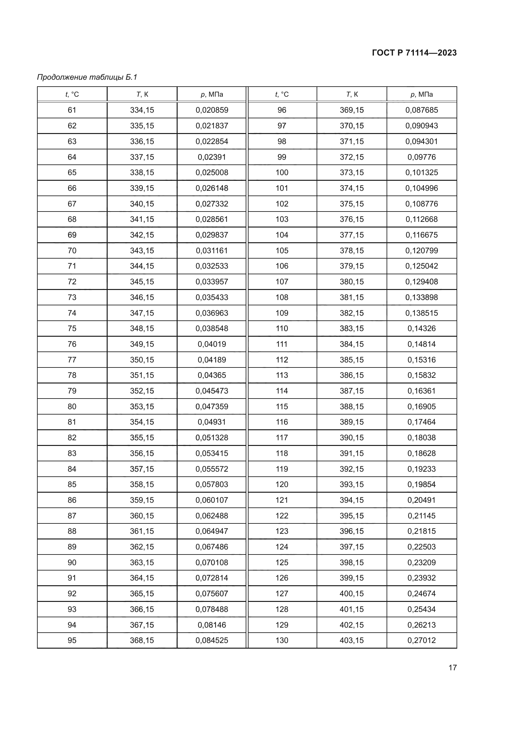
| Область применения: | Настоящий стандарт представляет собой методическое руководство для количественного определения массового расхода парниковых газов в газовом потоке. Настоящий стандарт описывает процедуры для определения показателя, приведенного в таблице 1 |
|