| Обозначение: |  ГОСТ Р 70924-2023 |
| Статус: | действующий |
| Название рус.: | Информационные технологии. Интернет вещей. Типовая архитектура |
| Название англ.: | Information technology. Internet of things. Reference architecture |
| Дата актуализации текста: | 01.01.2024 |
| Дата актуализации описания: | 01.01.2024 |
| Дата издания: | 13.12.2023 |
| Дата введения: | 01.01.2024 |
| Аутентичен стандартам: | ISO/IEC 30141:2018 |
| Нормативные ссылки: | ГОСТ Р 51901.5; ГОСТ Р 27.303; ГОСТ Р 56923; ГОСТ Р 57100; ГОСТ Р 57102; ГОСТ Р 57193; ГОСТ Р 58771; ГОСТ Р ИСО/МЭК 12207; ГОСТ Р ИСО/МЭК 27000; ГОСТ Р ИСО/МЭК 27031; ГОСТ Р ИСО/МЭК 27034-1; ГОСТ Р МЭК 60300-1 |
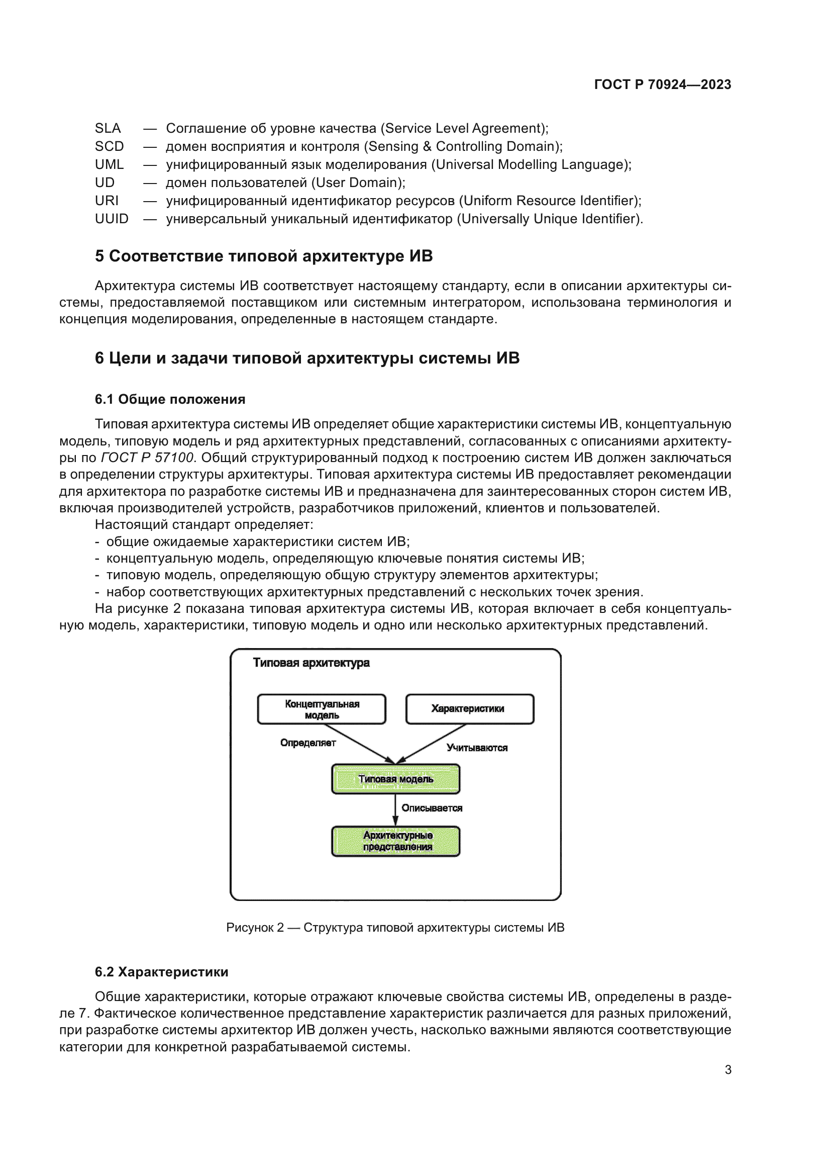
| Область применения: | Настоящий стандарт определяет общую типовую архитектуру Интернета вещей (ИВ) путем определения системных характеристик, концептуальной модели, типовой модели и архитектурных представлений |
|