| Обозначение: |  ГОСТ Р 71099-2023 |
| Статус: | действующий |
| Название рус.: | Выбросы стационарных источников. Определение выбросов парниковых газов в энергоемких отраслях промышленности. Часть 4. Алюминиевая промышленность |
| Название англ.: | Stationary source emissions. Determination of Greenhouse Gas emissions in energy intensive industries. Part 4. Aluminium industry |
| Дата актуализации текста: | 01.01.2024 |
| Дата актуализации описания: | 01.06.2024 |
| Дата издания: | 05.12.2023 |
| Дата введения: | 01.02.2024 |
| Нормативные ссылки: | ГОСТ Р 113.00.11; ГОСТ Р ИСО 14064-1; ГОСТ Р ИСО 19694-1;ГОСТ Р EН 15259 |
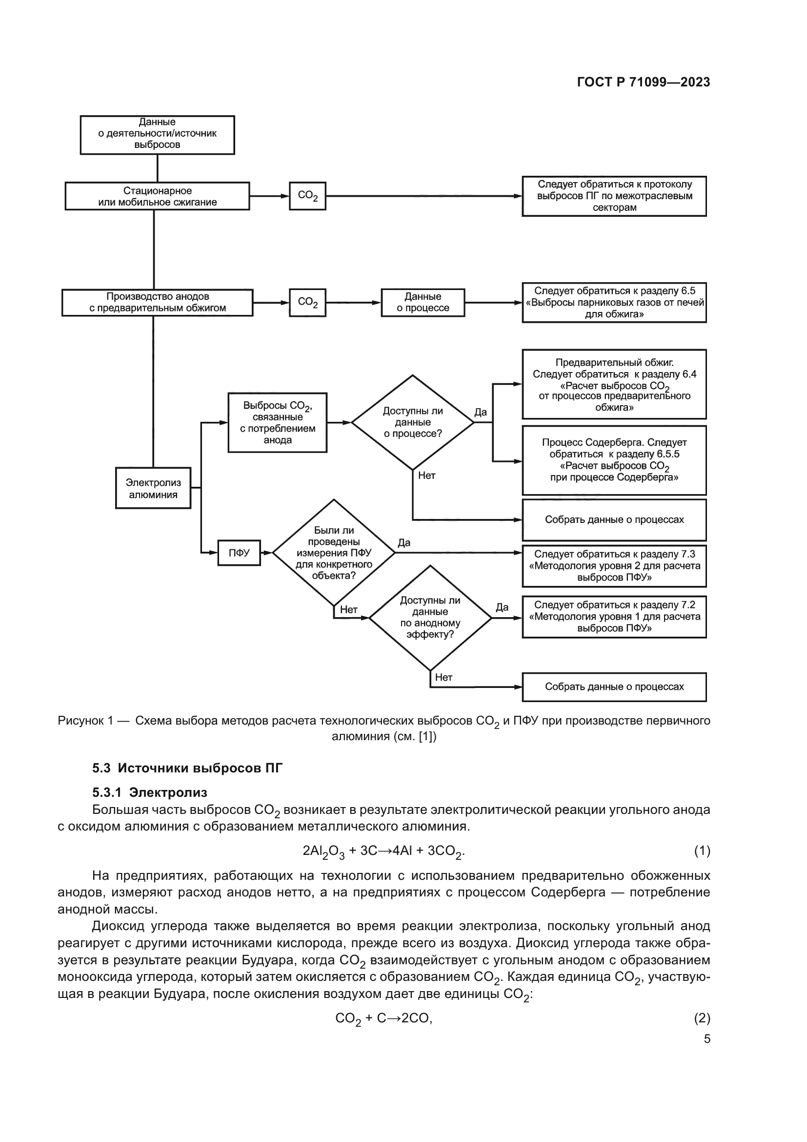
| Область применения: | Настоящий стандарт устанавливает согласованный метод количественного определения (расчета) технологических выбросов парниковых газов: - при производстве первичного алюминия с использованием процесса электролиза; - производстве обожженных анодов. В стандарте приведены рекомендации по определению индикативных удельных показателей выбросов парниковых газов для проведения бенчмаркинга производства алюминия (сравнительного анализа) и определения его границ |
|