| Обозначение: |  ГОСТ 34896-2022 |
| Статус: | действующий |
| Название рус.: | Методы испытаний по воздействию химической продукции на организм человека. Cенсибилизация кожи in vitro. Метод определения люциферазы ARE-NRF2 |
| Название англ.: | Methods for studying the effects of chemicals on the human body. In Vitro Skin Sensitisation. ARE-Nrf2 Luciferase Test Method |
| Дата актуализации текста: | 01.01.2024 |
| Дата актуализации описания: | 01.06.2024 |
| Дата регистрации: | 30.09.2022 |
| Дата издания: | 29.11.2023 |
| Дата введения: | 01.05.2024 |
| Содержит требования: | OECD 442d:2018 |
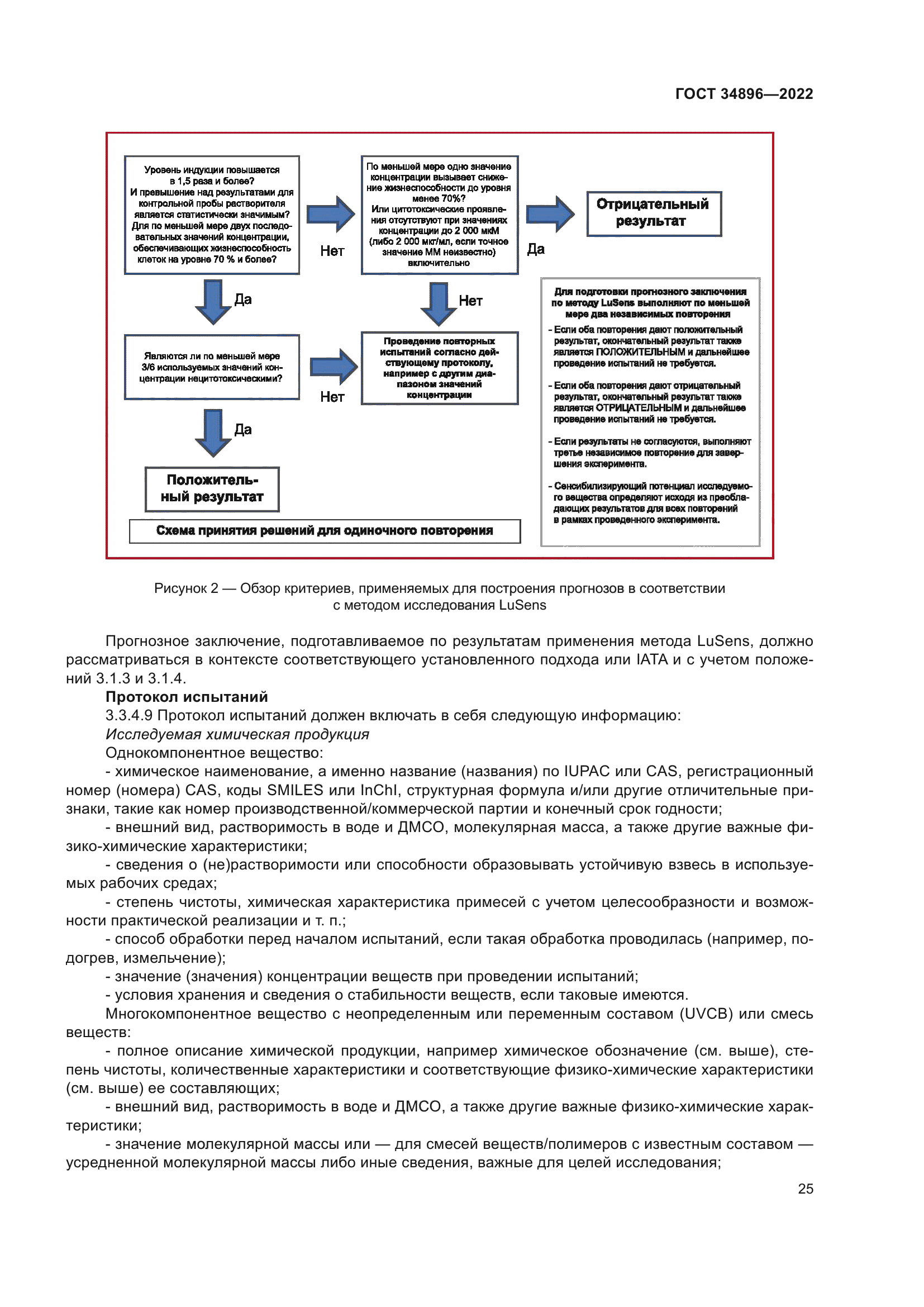
| Область применения: | Настоящий стандарт устанавливает методы испытаний in vitro, направленные на изучение механизмов, действием которых обусловлено второе ключевое событие AOP для сенсибилизации кожи, а именно активация кератиноцитов [2]. Представленные методы испытаний обеспечивают возможность классификации химической продукции, способной и не способной вызывать сенсибилизацию кожи, в соответствии с СГС ООН [1]. В настоящее время в стандарте описаны следующие методы испытаний: - метод исследования KeratinoSens™ на основе сигнального пути ARE-Nrf2 с использованием люциферазы (3.2); - метод исследования LuSens на основе сигнального пути ARE-Nrf2 с использованием люциферазы (3.3) |
|