Скачать ГОСТ Р 71098-2023 Выбросы стационарных источников. Определение выбросов парниковых газов в энергоемких отраслях промышленности. Часть 3. Производство цементаДата актуализации: 01.06.2025 ГОСТ Р 71098-2023
Выбросы стационарных источников. Определение выбросов парниковых газов в энергоемких отраслях промышленности. Часть 3. Производство цемента
| Обозначение: |  ГОСТ Р 71098-2023 |
| Статус: | действующий |
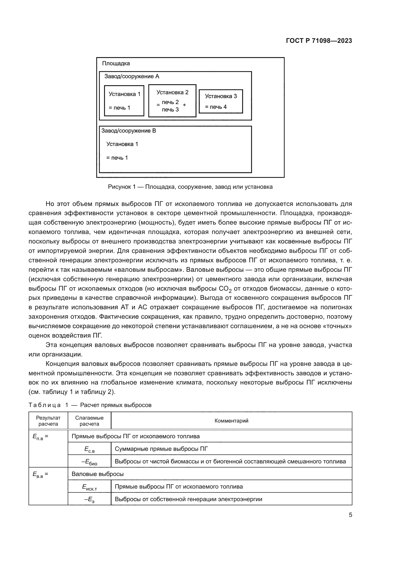
| Название рус.: | Выбросы стационарных источников. Определение выбросов парниковых газов в энергоемких отраслях промышленности. Часть 3. Производство цемента | | Название англ.: | Stationary source emissions. Determination of greenhouse gas emissions in energy intensive industries. Part 3. Cement industry | | Дата актуализации текста: | 01.01.2024 | | Дата актуализации описания: | 01.06.2024 | | Дата издания: | 04.12.2023 | | Дата введения: | 01.02.2024 | | Нормативные ссылки: | ГОСТ 30744; ГОСТ Р 57293; ГОСТ Р 57345; ГОСТ Р ИСО 12039; ГОСТ Р ИСО 14064-1-2021; ГОСТ Р ИСО 19694-1 | | Область применения: | Настоящий стандарт устанавливает согласованную методику расчета выбросов парниковых газов (ПГ) в цементной промышленности с целью представления данных об этих выбросах для различных целей и на разной основе, например на базе завода, предприятия (по стране или по региону) или даже на основе международной группы. В настоящем стандарте учтены следующие прямые и косвенные источники ПГ: - прямые выбросы ПГ по ГОСТ Р ИСО 14064-1–2021 [5.2.4, перечисление а)] из тех источников, которые принадлежат или контролирует предприятие, например: - декарбонизация карбонатов и сжигание органического углерода, содержащегося в сырьевой смеси, - сжигание печного топлива (ископаемое печное топливо, альтернативное топливо, смешанное топливо с содержанием биогенного углерода, биомасса и биожидкости), связанное либо с производством клинкера, либо с сушкой сырьевой смеси и топлива, либо и с тем и другим, - сжигание непечного топлива (ископаемое топливо, альтернативное топливо, смешанное топливо с содержанием биогенного углерода, биомасса и биожидкости), связанное с оборудованием и транспортными средствами на площадке, отоплением и охлаждением помещений, сушкой минеральных компонентов (например, шлака или пуццолана), - сжигание топлива для выработки электроэнергии; - сжигание углерода, содержащегося в обезвоженном осадке после очистки сточных вод; - косвенные выбросы ПГ по ГОСТ Р ИСО 14064-1–2021 [5.2.4, перечисление b)] в результате производства электроэнергии, потребляемой на принадлежащем или контролируемом предприятием оборудовании; - прочие косвенные выбросы ПГ по (ГОСТ Р ИСО 14064-1–2021 [5.2.4, перечисления c)–f)] от закупаемого клинкера | |
                                                    
|