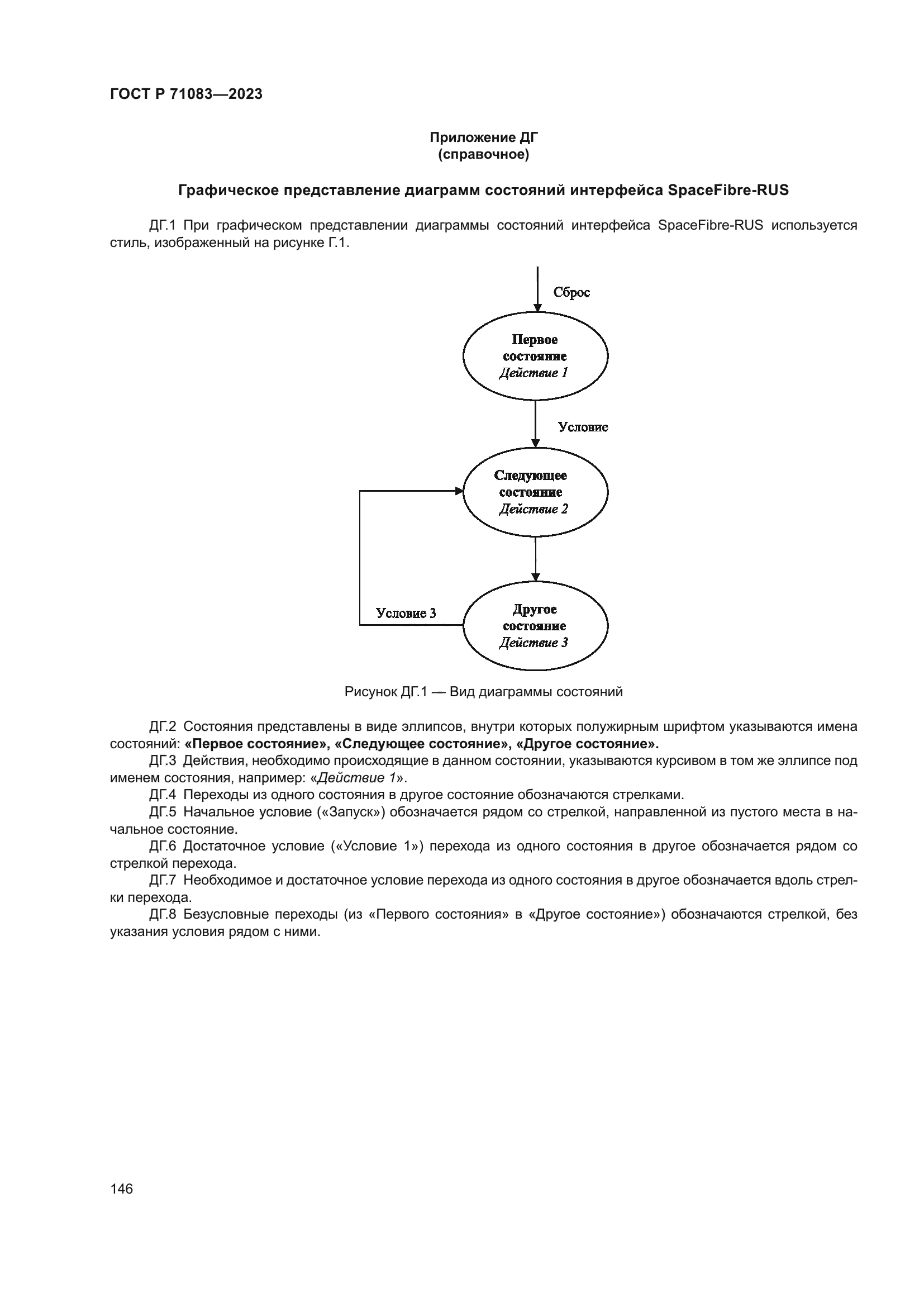
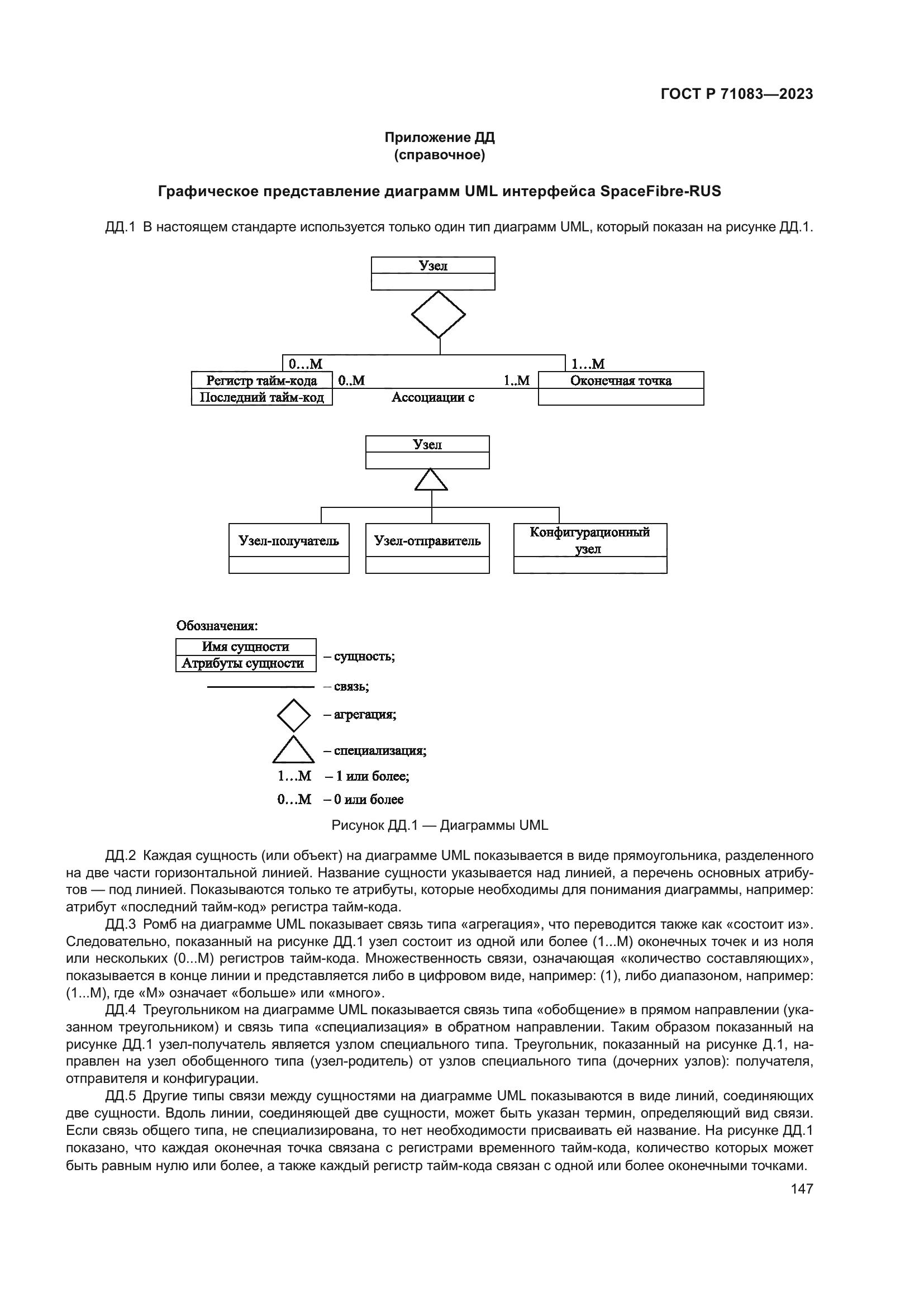
| Обозначение: |  ГОСТ Р 71083-2023 |
| Статус: | действующий |
| Название рус.: | Космическая техника. Интерфейсы и протоколы высокоскоростного межприборного информационного обмена и комплексирования бортовых систем космических аппаратов. SpaceFibre-RUS |
| Название англ.: | Space products. Interfaces and protocols of high-speed interunit information exchange and integration of space crafts onboard systems. SpaceFibre-RUS |
| Дата актуализации текста: | 01.01.2024 |
| Дата актуализации описания: | 01.06.2024 |
| Дата издания: | 28.11.2023 |
| Дата введения: | 01.04.2024 |
| Содержит требования: | ECSS-E-ST-50-11C |
| Область применения: | Настоящий стандарт устанавливает общие требования к интерфейсам и протоколам высокоскоростного межприборного информационного обмена и комплексирования бортовых систем космических аппаратов и систем наземных инфраструктур технологии SpaceFibre-RUS. Настоящий стандарт распространяется на служебные системы и системы полезной нагрузки космических и других летательных аппаратов, а также на системы наземных инфраструктур |
|