Скачать ГОСТ 34722-2021 Методы испытаний по воздействию химической продукции на организм человека. Метод исследований помутнения и проницаемости роговицы крупного рогатого скота для определения химической продукции, вызывающей серьезное повреждение глаз, и химической продукции, не требующей классификации опасности как вызывающей раздражение или серьезное повреждение глазДата актуализации: 01.06.2025 ГОСТ 34722-2021
Методы испытаний по воздействию химической продукции на организм человека. Метод исследований помутнения и проницаемости роговицы крупного рогатого скота для определения химической продукции, вызывающей серьезное повреждение глаз, и химической продукции, не требующей классификации опасности как вызывающей раздражение или серьезное повреждение глаз
| Обозначение: |  ГОСТ 34722-2021 |
| Статус: | действующий |
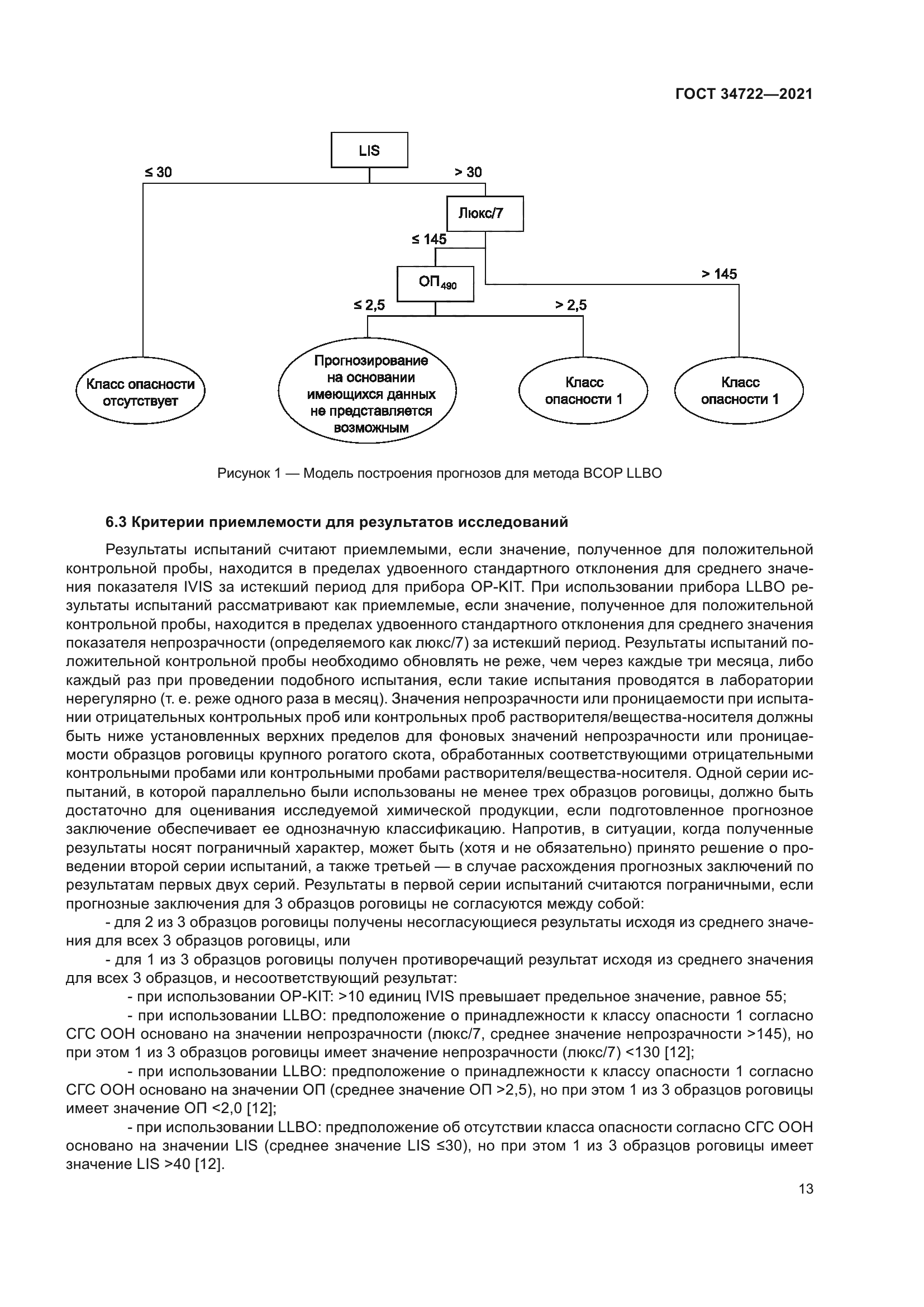
| Название рус.: | Методы испытаний по воздействию химической продукции на организм человека. Метод исследований помутнения и проницаемости роговицы крупного рогатого скота для определения химической продукции, вызывающей серьезное повреждение глаз, и химической продукции, не требующей классификации опасности как вызывающей раздражение или серьезное повреждение глаз | | Название англ.: | Methods for studying the effects of chemicals on the human body. Bovine corneal opacity and permeability test method for identifying chemicals inducing serious eye damage and chemicals not requiring hazard classification for eye irritation or serious eye damage | | Дата актуализации текста: | 01.12.2024 | | Дата актуализации описания: | 01.06.2024 | | Дата регистрации: | 30.04.2023 | | Дата издания: | 29.11.2023 | | Дата введения: | 01.05.2024 | | Содержит требования: | OECD 437:2020 | | Область применения: | Настоящий стандарт распространяется на проведение испытаний по оценке потенциальной опасности для глаз исследуемой химической продукции, которая определяется по ее способности вызывать помутнение и повышать проницаемость роговицы извлеченных глаз крупного рогатого скота. Токсическое воздействие на роговицу, таким образом, определяется по: (1) снижению светопропускания (непрозрачности) и (2) увеличению количества проходящего через ее толщу красителя — флуоресцеина натрия (проницаемости). Оценки характеристик непрозрачности и проницаемости роговицы после воздействия на нее исследуемой химической продукцией объединяются, формируя значение показателя раздражающей способности in vitro (In Vitro Irritancy Score — IVIS) или показателя раздражающей способности при использовании LLBO (LLBO Irritancy Score — LIS), которое используется для классификации химической продукции в зависимости от уровня раздражающего воздействия | | Приложение №1: | Поправка к ГОСТ 34722-2021 | | Приложение №2: | Поправка к ГОСТ 34722-2021 | |
                                     
Поправка к ГОСТ 34722-2021
| Обозначение: | Поправка к ГОСТ 34722-2021 |
| Дата введения: | 25.06.2024 |

Поправка к ГОСТ 34722-2021
| Обозначение: | Поправка к ГОСТ 34722-2021 |
| Дата введения: | 17.07.2024 |
|