| Обозначение: |  ГОСТ Р 70893-2023 |
| Статус: | действующий |
| Название рус.: | Тренажерные устройства имитации полета. Тренажерные устройства имитации полета вертолета. Методы оценки соответствия |
| Название англ.: | Flight simulation training devices. Helicopter flight simulation devices. Сonformity assessment methods |
| Дата актуализации текста: | 01.01.2024 |
| Дата актуализации описания: | 01.01.2024 |
| Дата издания: | 27.11.2023 |
| Дата введения: | 01.01.2024 |
| Нормативные ссылки: | ГОСТ 22448; ГОСТ 22837; ГОСТ Р 12.4.211; ГОСТ Р 57259 |
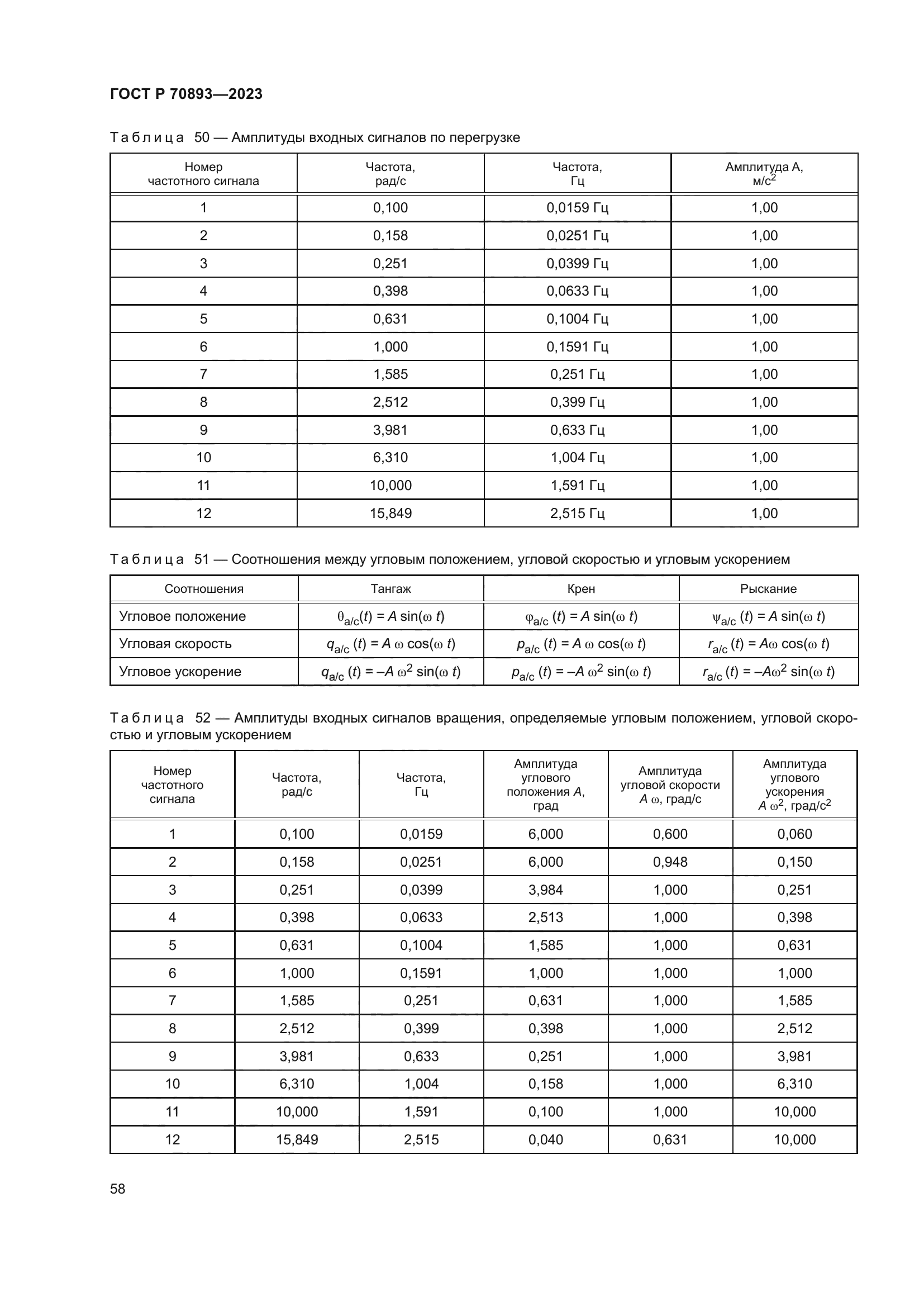
| Область применения: | Настоящий стандарт устанавливает требования к методам оценки соответствия тренажеров вертолета требованиям Федеральных авиационных правил. Настоящий стандарт предназначен для обеспечения процедуры допуска к применению тренажерных устройств имитации полета [1] и предназначен для применения при проведении испытаний авиационных тренажеров вертолетов, их систем, программного и аппаратного обеспечения, а также при проведении модернизации действующих авиационных тренажеров и экспертизы проектов перспективных авиационных тренажеров |
|