Скачать ГОСТ 33060-2014 Методы испытаний химической продукции, представляющей опасность для окружающей среды. Изучение адсорбции-десорбции замкнутым равновесным методомДата актуализации: 01.06.2025 ГОСТ 33060-2014
Методы испытаний химической продукции, представляющей опасность для окружающей среды. Изучение адсорбции-десорбции замкнутым равновесным методом
| Обозначение: |  ГОСТ 33060-2014 |
| Статус: | действующий |
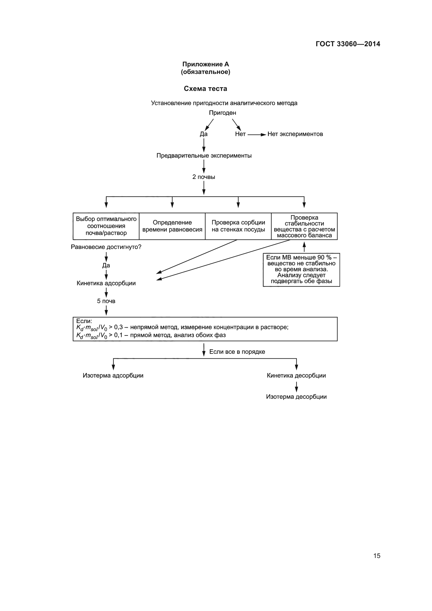
| Название рус.: | Методы испытаний химической продукции, представляющей опасность для окружающей среды. Изучение адсорбции-десорбции замкнутым равновесным методом | | Название англ.: | Method of testing the chemicals hazardous to the environment. Adsorption-desorption using а batch equilibrium method | | Дата актуализации текста: | 01.01.2024 | | Дата актуализации описания: | 01.01.2024 | | Дата регистрации: | 20.10.2014 | | Дата издания: | 15.11.2023 | | Дата введения: | 01.12.2023 | | Область применения: | Данный стандарт предназначен для оценки сорбционно-десорбционного поведения различных веществ в почве. С его помощью можно получать значения величин сорбции для предсказания поведения веществ в различных природных условиях: с этой целью коэффициент равновесной сорбции определяется как функция почвенных характеристик (содержание органического вещества, гранулометрический состав, сложение почвы, рН и др.). Поэтому приходится использовать различные типы почв с целью оценки всех возможных взаимодействий данного вещества с почвой в естественных условиях. В данном стандарте адсорбция представляется как процесс связывания химического вещества поверхностью почвенных частиц. Здесь она не разделяется на различные сорбционные процессы (физическая и химическая сорбция) и такие явления как поверхностное каталитическое разложение, объемная адсорбция и поверхностные химические реакции. Адсорбция, происходящая на почвенных коллоидных частицах (< 0,2 мкм) постоянно генерируемых почвой, не принимается в расчет в полной мере | |
                                      
|