| Обозначение: |  ГОСТ Р 70944-2023 |
| Статус: | действующий |
| Название рус.: | Технологии искусственного интеллекта в образовании. Функциональная подсистема организации участия в конкурсных мероприятиях с целью финансирования научной деятельности. Общие положения |
| Название англ.: | Artificial intelligence technologies in education. Functional subsystem for organizing participation in competitive events in order to finance scientific activities. General provisions |
| Дата актуализации текста: | 01.01.2024 |
| Дата актуализации описания: | 01.01.2024 |
| Дата издания: | 03.11.2023 |
| Дата введения: | 01.01.2024 |
| Нормативные ссылки: | ГОСТ Р 59407; ГОСТ Р 59897-2021; ГОСТ Р 59900 |
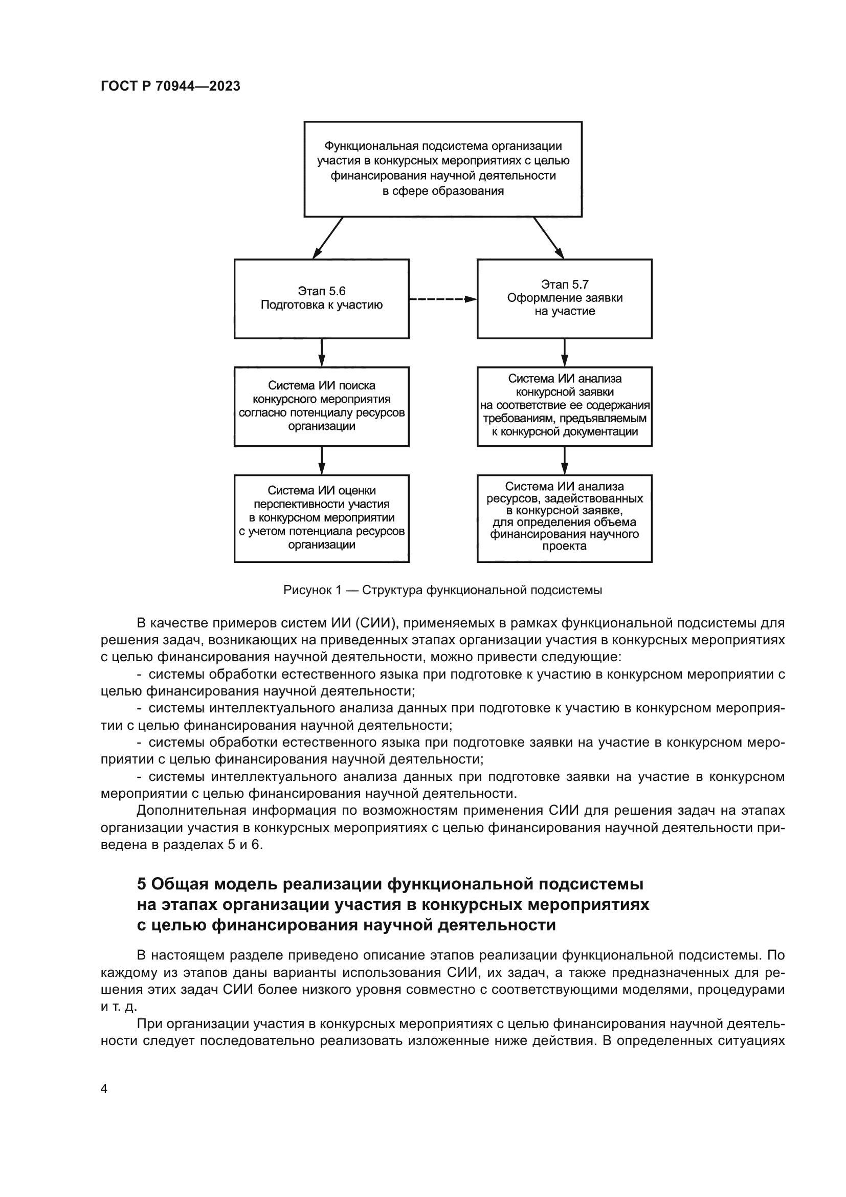
| Область применения: | В настоящем стандарте описывается общая модель реализации функциональной подсистемы на этапах организации участия в конкурсных мероприятиях с целью финансирования научной деятельности обучающихся, а также системы искусственного интеллекта, предназначенные для обеспечения ее работы. Настоящий стандарт применяется в организациях профессионального и образования [1] (статья 10), а также в иных организациях, которые осуществляют образовательную деятельность |
|