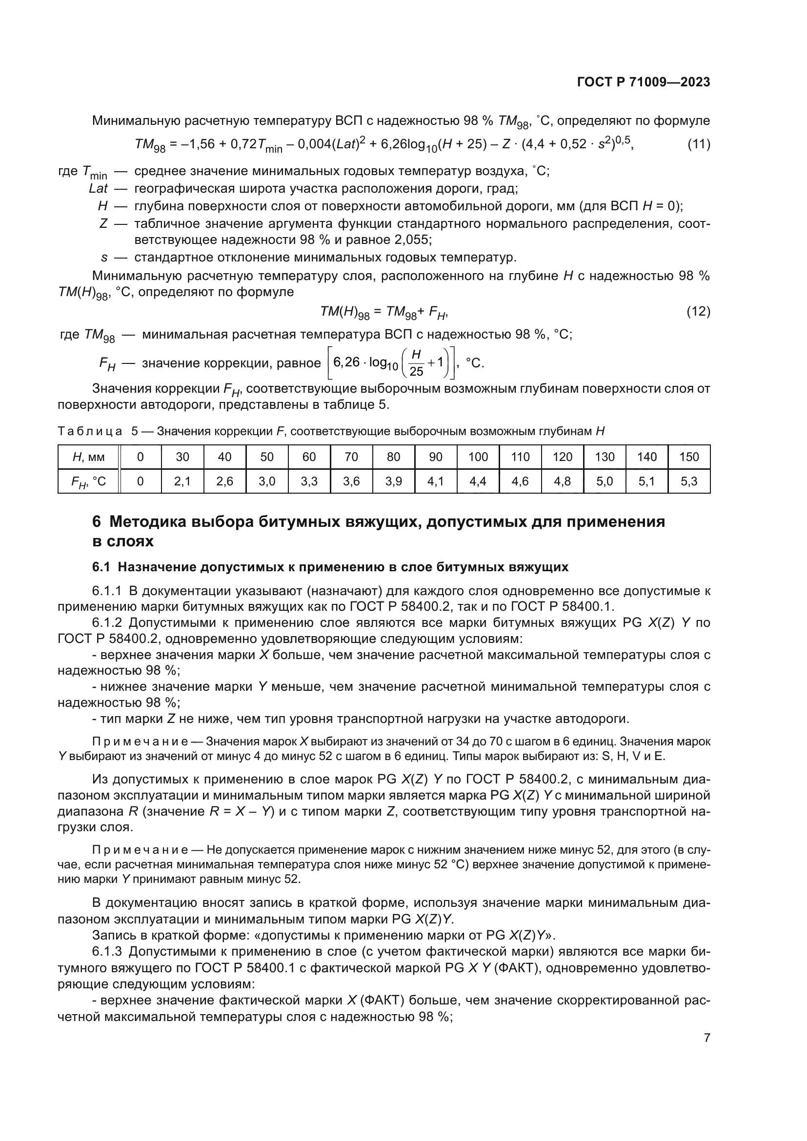
| Обозначение: |  ГОСТ Р 71009-2023 |
| Статус: | действующий |
| Название рус.: | Дороги автомобильные общего пользования. Материалы вяжущие нефтяные битумные. Правила выбора марок |
| Название англ.: | Automobile roads of general use. Petroleum-based bitumen binders. Rules of grade selection |
| Дата актуализации текста: | 01.01.2024 |
| Дата актуализации описания: | 01.06.2024 |
| Дата издания: | 07.11.2023 |
| Дата введения: | 01.02.2024 |
| Нормативные ссылки: | ГОСТ 33133-2014; ГОСТ Р 58400.1; ГОСТ Р 58400.2; ГОСТ Р 58400.3; ГОСТ Р 58401.1-2019; ГОСТ Р 58829 |
| Область применения: | Настоящий стандарт распространяется на битумные нефтяные вяжущие материалы (далее – битумные вяжущие), предназначенные в качестве вяжущего материала при строительстве, реконструкции, ремонте покрытий и оснований автомобильных дорог, и устанавливает методику выбора битумных вяжущих, допустимых для применения в различных конструктивных слоях дорожных одежд из асфальтобетона с учетом температурных условий эксплуатации и транспортных нагрузок |
|