| Обозначение: |  ГОСТ Р ИСО 7870-4-2023 |
| Статус: | действующий |
| Название рус.: | Статистические методы. Контрольные карты. Часть 4. Карты кумулятивных сумм |
| Название англ.: | Statistical methods. Control charts. Part 4. Cumulative sum charts |
| Дата актуализации текста: | 01.01.2024 |
| Дата актуализации описания: | 01.06.2024 |
| Дата издания: | 19.10.2023 |
| Дата введения: | 01.03.2024 |
| Взамен: | ГОСТ Р ИСО 7870-4-2013 |
| Аутентичен стандартам: | ISO 7870-4:2021 |
| Нормативные ссылки: | ISO 3534-1;ISO 3534-2 |
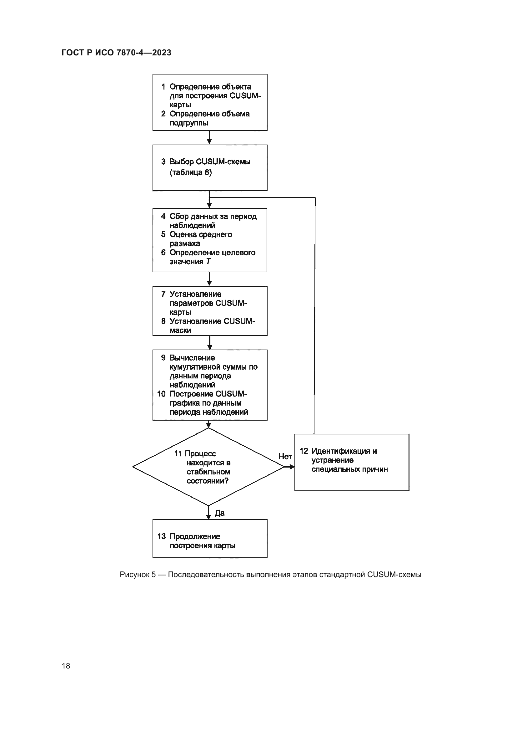
| Область применения: | В настоящем стандарте установлены статистические процедуры определения кумулятивной суммы (CUSUM) для контроля процесса и качества продукции с использованием количественных и альтернативных данных. В настоящем стандарте установлены общие методы принятия решений, использующие кумулятивную сумму (CUSUM) для мониторинга, контроля, управления и ретроспективного анализа |
|