Скачать ГОСТ Р 70959-2023 Изделия коммутационные. Переключатели, выключатели. Классификация и система условных обозначенийДата актуализации: 01.06.2025 ГОСТ Р 70959-2023
Изделия коммутационные. Переключатели, выключатели. Классификация и система условных обозначений
| Обозначение: |  ГОСТ Р 70959-2023 |
| Статус: | действующий |
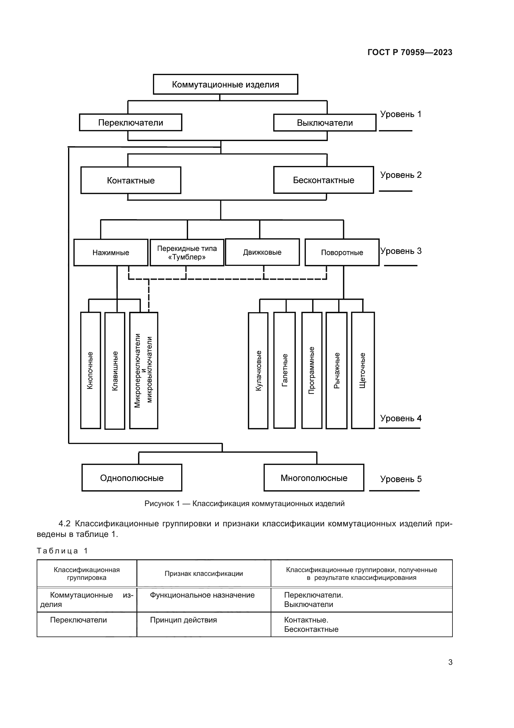
| Название рус.: | Изделия коммутационные. Переключатели, выключатели. Классификация и система условных обозначений | | Название англ.: | Switching products, switches, switches. Classification and system of designations | | Дата актуализации текста: | 01.01.2024 | | Дата актуализации описания: | 01.06.2024 | | Дата издания: | 24.10.2023 | | Дата введения: | 01.03.2024 | | Нормативные ссылки: | ГОСТ 15150; ГОСТ 17703; ГОСТ 22719 | | Область применения: | Настоящий стандарт распространяется на вновь разрабатываемые и модернизируемые переключатели и выключатели с ручным приводом, микропереключатели и микровыключатели (далее – коммутационные изделия), применяемые для коммутации электрических цепей в радиоэлектронной аппаратуре, и устанавливает их классификацию и систему условных обозначений. Настоящий стандарт предназначен для применения предприятиями, организациями и другими субъектами научной и хозяйственной деятельности независимо от форм собственности и подчинения, а также федеральными органами исполнительной власти Российской Федерации, участвующими в разработке, производстве, эксплуатации коммутационных изделий в соответствии с действующим законодательством | |
      
|