Скачать ГОСТ Р ИСО 14030-2-2023 Оценка экологической результативности. Зеленые долговые инструменты. Часть 2. Механизм зеленых кредитовДата актуализации: 01.06.2025 ГОСТ Р ИСО 14030-2-2023
Оценка экологической результативности. Зеленые долговые инструменты. Часть 2. Механизм зеленых кредитов
| Обозначение: |  ГОСТ Р ИСО 14030-2-2023 |
| Статус: | действующий |
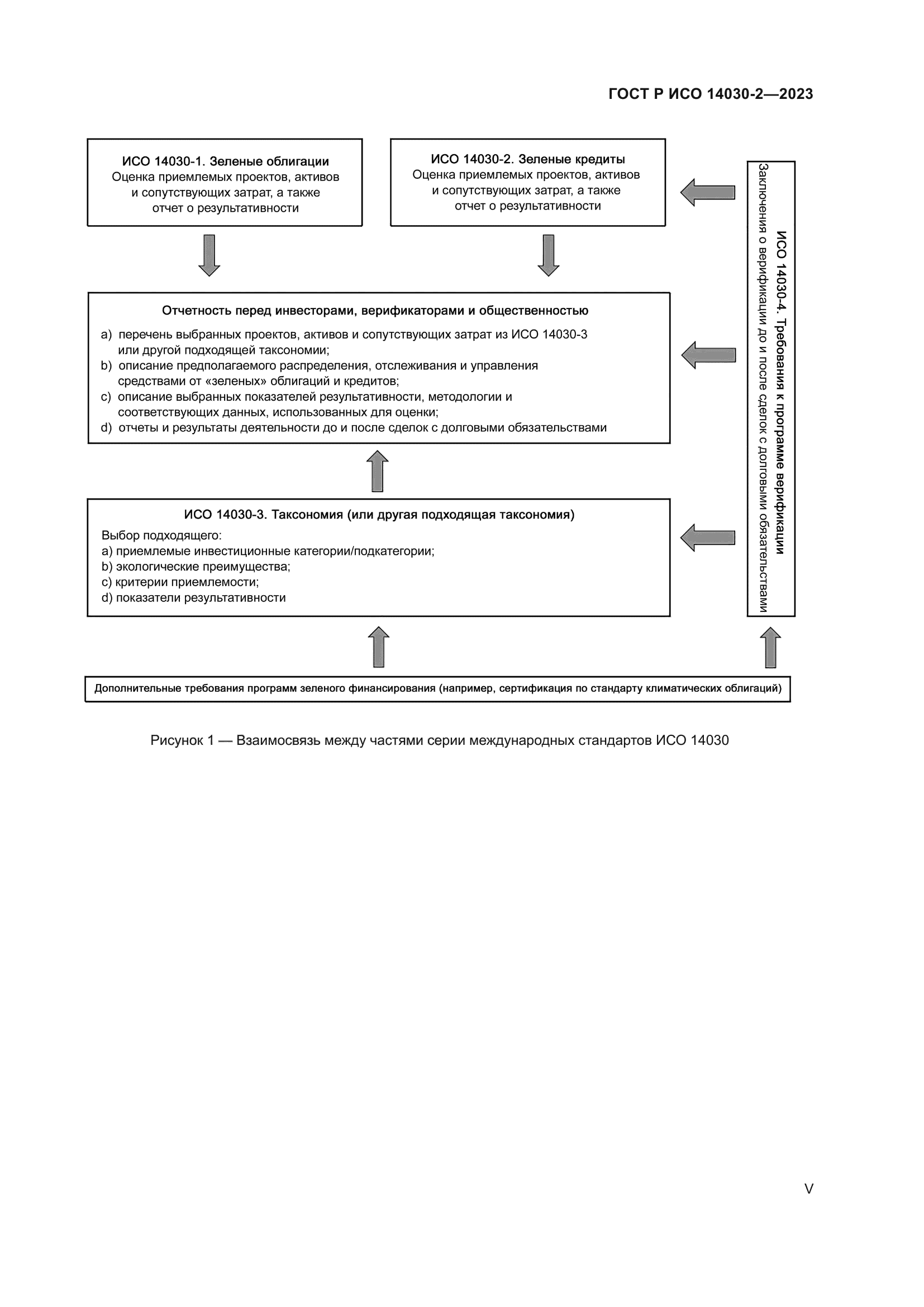
| Название рус.: | Оценка экологической результативности. Зеленые долговые инструменты. Часть 2. Механизм зеленых кредитов | | Название англ.: | Environmental performance evaluation. Green debt instruments. Part 2. Process for green loans | | Дата актуализации текста: | 01.01.2024 | | Дата актуализации описания: | 01.01.2024 | | Дата издания: | 03.10.2023 | | Дата введения: | 01.01.2024 | | Аутентичен стандартам: | ISO 14030-2:2021 | | Область применения: | Настоящий стандарт устанавливает принципы, требования и руководящие указания: - для обозначения зеленых кредитов, используемых для финансирования приемлемых проектов, активов и сопутствующих затрат; - управления и отчетности по использованию средств; - определения, мониторинга и отчетности о воздействии на окружающую среду; - отчетности перед заинтересованными сторонами; - валидации и верификации. Действие настоящего стандарта распространяется на любого заемщика, желающего получить финансирование в виде зеленого кредита на приемлемые зеленые проекты, активы и сопутствующие затраты. Настоящий стандарт также распространяется на кредиторов | |
                  
|