| Обозначение: |  ГОСТ IEC 61010-2-033-2023 |
| Статус: | действующий |
| Название рус.: | Требования безопасности для электрического оборудования для измерений, управления и лабораторного применения. Часть 2-033. Частные требования к ручным мультиметрам для бытового и профессионального применения, способным измерять напряжение сети |
| Название англ.: | Safety requirements for electrical equipment for measurement, control and laboratory use. Part 2-033. Particular requirements for hand-held multimeters for domestic and professional use, capable of measuring mains voltage |
| Дата актуализации текста: | 01.06.2024 |
| Дата актуализации описания: | 01.12.2024 |
| Дата регистрации: | 31.08.2023 |
| Дата издания: | 28.09.2023 |
| Дата введения: | 01.09.2024 |
| Взамен: | ГОСТ IEC 61010-2-033-2013 |
| Аутентичен стандартам: | IEC 61010-2-033(2019) |
| Нормативные ссылки: | IEC Guide 104(1997);IEC 60027-1(1992);IEC 60027-1/Cor.1(1993);IEC 60027-1/Amd.1(1997);IEC 60027-1/Amd.2(2005);IEC 60027-2(2005);IEC 60027-3(2002);IEC 60027-4(2006);IEC 60027-6(2006);IEC 60027-7(2010);IEC 60065(2001);IEC 60068-2-14(2009);IEC 60068-2-75(1997);IEC 60073(2002);IEC 60227-1(2007);IEC 60227-2(1997);IEC 60227-2/Cor.1(1998);IEC 60227-2/Amd.1(2003);IEC 60227-2(2003);IEC 60227-3(1993);IEC 60227-3/Amd.1(1997);IEC 60227-3(1997);IEC 60227-4(1992);IEC 60227-4/Amd.1(1997);IEC 60227-4(1997);IEC 60227-5(1997);IEC 60227-5/Amd.1(1997);IEC 60227-5/Amd.2(2003);IEC 60227-5(1998);IEC 60227-5(2003);IEC 60227-6(2001);IEC 60227-7(1995);IEC 60227-7/Amd.1(2003);IEC 60227-7(2003);IEC 60245-1(2003);IEC 60245-1/Amd.1(2007);IEC 60245-1(2008);IEC 60245-2(1994);IEC 60245-2/Amd.1(1997);IEC 60245-2/Amd.2(1997);IEC 60245-2(1998);IEC 60245-3(1994);IEC 60245-3/Amd.1(1997);IEC 60245-4(1994);IEC 60245-4/Amd.1(1997);IEC 60245-4/Amd.2(2003);IEC 60245-4(2004);IEC 60245-5(1994);IEC 60245-5/Amd.1(2003);IEC 60245-6(1994);IEC 60245-6/Amd.1(1997);IEC 60245-6/Amd.2(2003);IEC 60245-7(1994);IEC 60245-7/Amd.1(1997);IEC 60245-8(1998);IEC 60245-8/Amd.1(2003);IEC 60245-8(2004);IEC 60309-1(1999);IEC 60309-1/Amd.1(2005);IEC 60309-1(2005);IEC 60309-2(1999);IEC 60309-2/Amd.1(2005);IEC 60309-2(2005);IEC 60309-4(2006);IEC 60320-1(2001);IEC 60320-1/Amd.1(2007);IEC 60320-1(2007);IEC 60320-2-1(2000);IEC 60320-2-2(1998);IEC 60320-2-3(1998);IEC 60320-2-3/Amd.1(2004);IEC 60320-2-3(2005);IEC 60320-2-4(2005);IEC 60320-2-4/Amd.1(2009);IEC 60320-2-4(2009);IEC 60332-1-2(2004);IEC 60332-2-2(2004);IEC 60335-2-24(2010);IEC 60335-2-89(2010);IEC 60364-4-44(2007);IEC 60405(2003);IEC 60417(1973);IEC 60529(1989);IEC 60664-3(2003);IEC 60695-11-10(1999);IEC 60799(1998);IEC 60825-1(2007);IEC 60947-1(2007);IEC 60947-3(2008);IEC 61010-031(2015);IEC 61180;IEC 61672-1(2002);IEC 61672-2(2003);IEC 62262(2002);IEC 61010-2-032 |
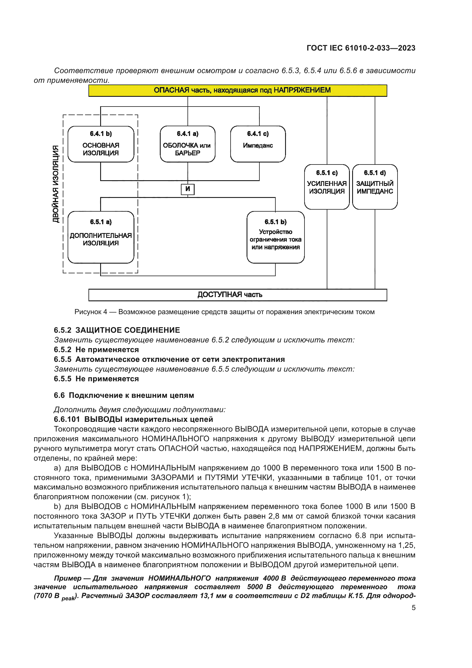
| Область применения: | Настоящий стандарт устанавливает требования безопасности для ручных мультиметров для бытового и профессионального применения, способных измерять напряжение сети. Ручные мультиметры представляют собой многодиапазонные многофункциональные измерительные приборы, предназначенные для измерения напряжения и других электрических величин, таких как сопротивление или ток. Основным назначением ручных мультиметров является измерение напряжения сети, находящейся под напряжением. При нормальном применении их можно удерживать одной рукой |
| Приложение №1: | Поправка к ГОСТ IEC 61010-2-033-2023 |
|