Скачать ГОСТ Р 70921-2023 Системная и программная инженерия. Требования и оценка качества систем и программной продукции (SQuaRE). Концепция требований к качествуДата актуализации: 01.06.2025 ГОСТ Р 70921-2023
Системная и программная инженерия. Требования и оценка качества систем и программной продукции (SQuaRE). Концепция требований к качеству
| Обозначение: |  ГОСТ Р 70921-2023 |
| Статус: | действующий |
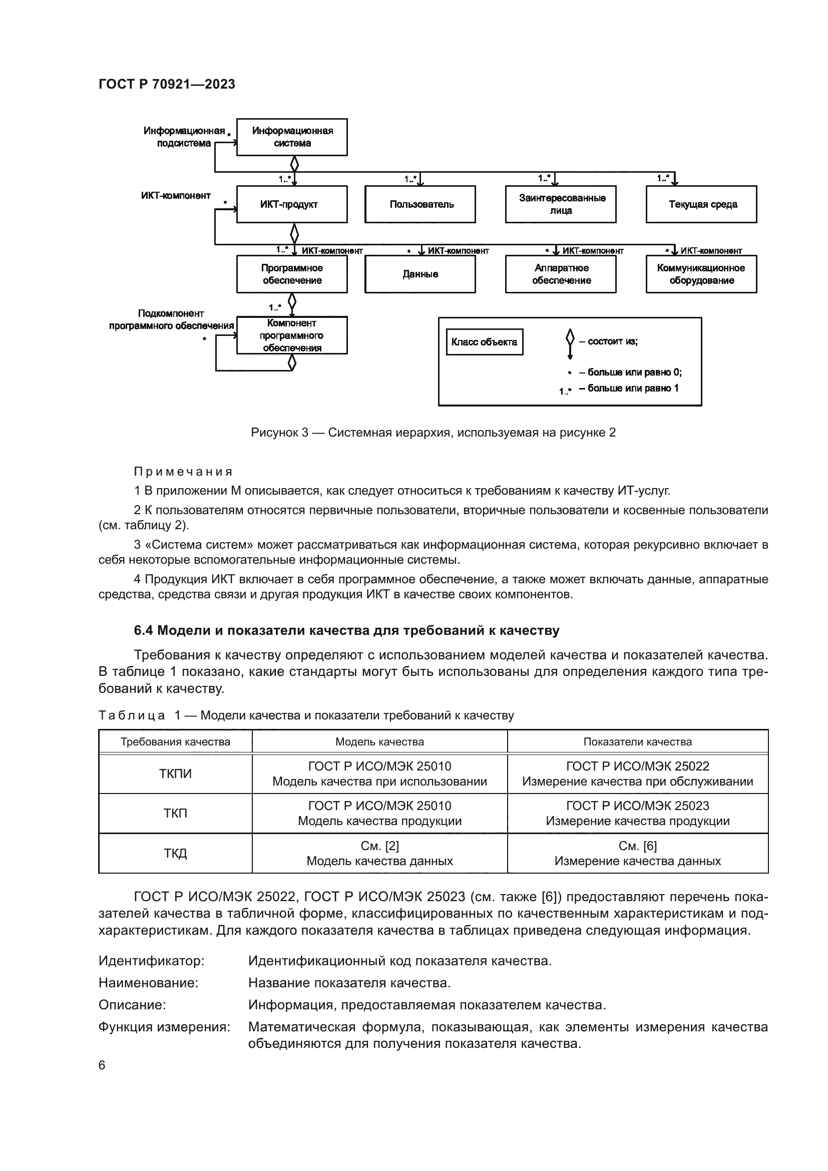
| Название рус.: | Системная и программная инженерия. Требования и оценка качества систем и программной продукции (SQuaRE). Концепция требований к качеству | | Название англ.: | Systems and software engineering. Systems and software Quality Requirements and Evaluation (SQuaRE). Quality requirements framework | | Дата актуализации текста: | 01.01.2024 | | Дата актуализации описания: | 01.06.2024 | | Дата издания: | 19.09.2023 | | Дата введения: | 30.01.2024 | | Нормативные ссылки: | ГОСТ Р 56921; ГОСТ Р ИСО/МЭК 12207; ГОСТ Р ИСО/МЭК 25000; ГОСТ Р ИСО/МЭК 25010; ГОСТ Р ИСО/МЭК 25022; ГОСТ Р ИСО/МЭК 25023; ГОСТ Р ИСО/МЭК 25040 | | Область применения: | Настоящий стандарт обеспечивает основу для требований к качеству систем, программной продукции и данных, которая включает в себя концепцию требований к качеству, а также требования и рекомендации к процессам и методам для их выявления (см. приложение А), определения, использования и управления. Предполагаемыми пользователи настоящего стандарта являются, но не ограничиваются: - покупатели: оценивают, соответствует ли система/программная продукция/данные их запросам, т. е. соответствие ожидаемому качеству; - разработчики: разрабатывают, внедряют и тестируют систему/программную продукцию/данные, чтобы убедиться, что они соответствуют ожидаемому качеству; - тестировщики: проверяют и подтверждают, что система/программную продукцию/данные соответствуют ожидаемому качеству; - руководители проектов: планируют, контролируют и регулируют достижение ожидаемого качества; - независимые оценщики: оценивают систему/программную продукцию/данные в соответствии с объективными критериями | |
                                                
|