| Обозначение: |  ГОСТ Р 70922-2023 |
| Статус: | действующий |
| Название рус.: | Системная и программная инженерия. Требования и оценка качества систем и программной продукции (SQuaRE). Модели качества услуг |
| Название англ.: | Systems and software engineering. Systems and software Quality Requirements and Evaluation (SQuaRE). Service quality models |
| Дата актуализации текста: | 01.01.2024 |
| Дата актуализации описания: | 01.06.2024 |
| Дата издания: | 19.09.2023 |
| Дата введения: | 30.01.2024 |
| Аутентичен стандартам: | ISO/IEC TS 25011:2017 |
| Нормативные ссылки: | ISO/IEC 25010;ISO/IEC 25012 |
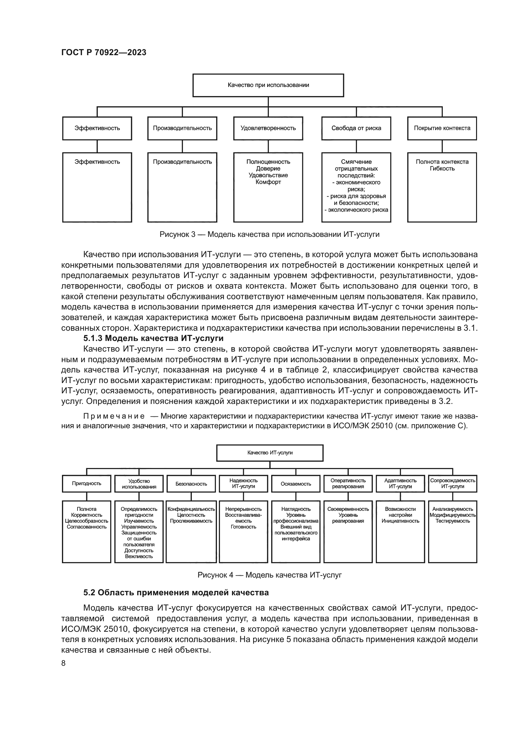
| Область применения: | Настоящий стандарт применим к ИТ-услугам, которые поддерживают потребности отдельного пользователя или бизнеса. ИТ-услуги могут предоставляться лично или удаленно людьми или с помощью ИТ-приложения, которое может исполняться локально или удаленно (см. приложение А). К ним относятся два типа ИТ-услуг: - полностью автоматизированные услуги, предоставляемые ИТ-системой; - услуги, предоставляемые человеком, использующим ИТ-систему |
|