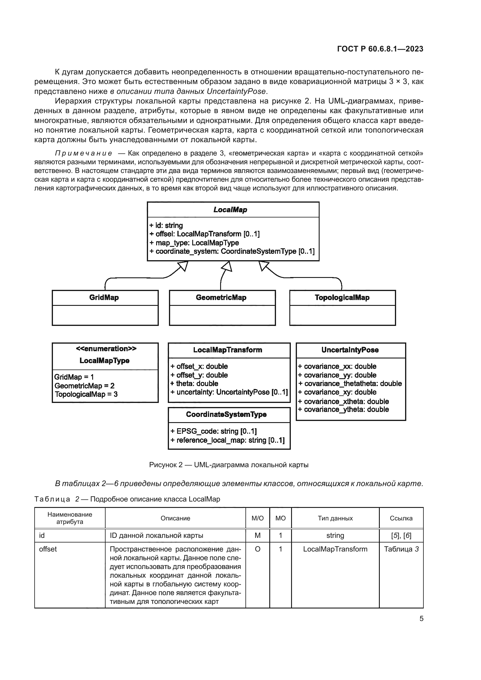
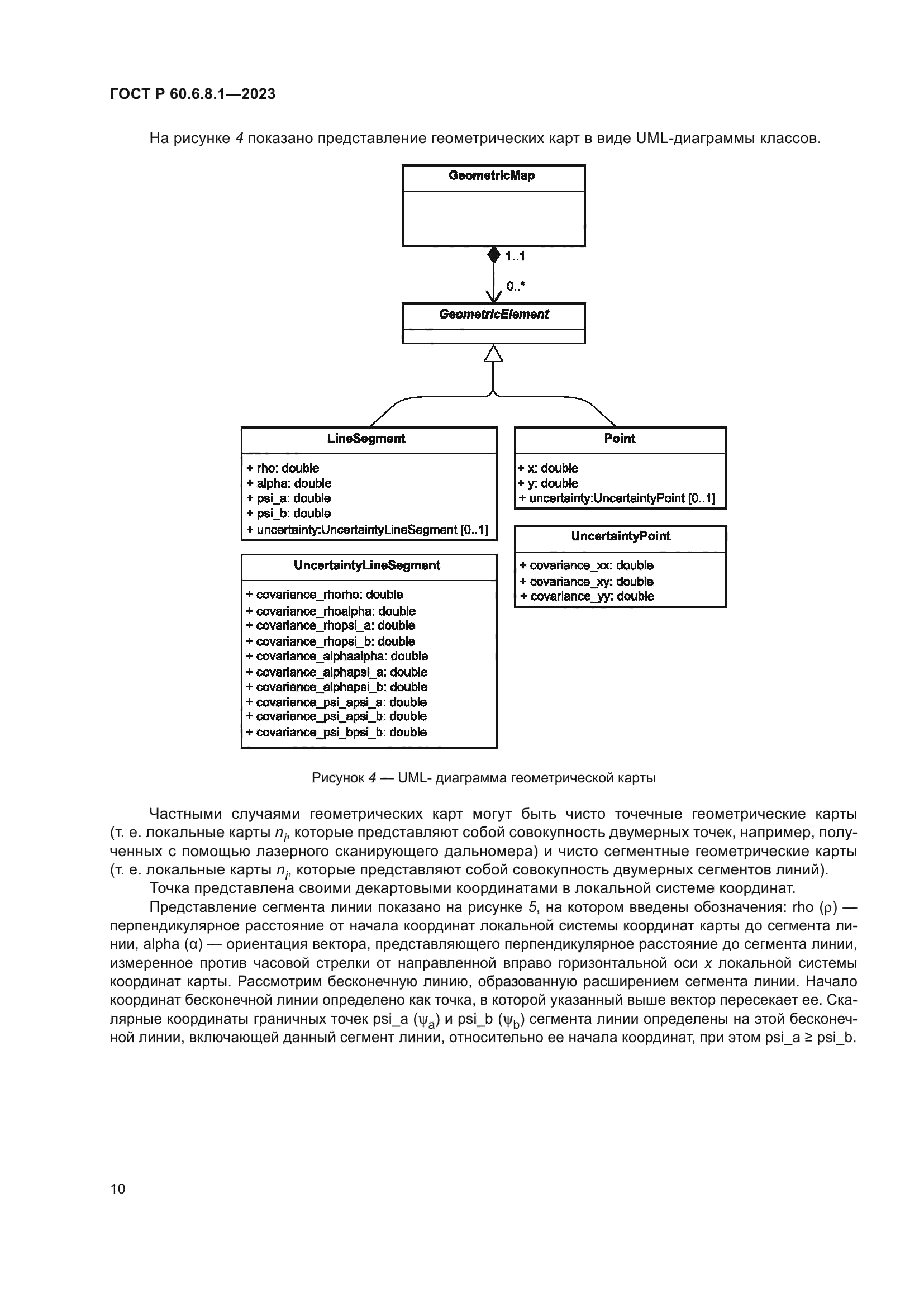
Скачать ГОСТ Р 60.6.8.1-2023 Роботы и робототехнические устройства. Представление картографических данных для навигации роботовДата актуализации: 01.06.2025 ГОСТ Р 60.6.8.1-2023
Роботы и робототехнические устройства. Представление картографических данных для навигации роботов
| Обозначение: |  ГОСТ Р 60.6.8.1-2023 |
| Статус: | действующий |
| Название рус.: | Роботы и робототехнические устройства. Представление картографических данных для навигации роботов | | Название англ.: | Robots and robotic devices. Map data representation for robot navigation | | Дата актуализации текста: | 01.01.2024 | | Дата актуализации описания: | 01.01.2024 | | Дата издания: | 13.09.2023 | | Дата введения: | 01.01.2024 | | Нормативные ссылки: | ГОСТ Р 60.0.0.4-2023 | | Область применения: | Настоящий стандарт устанавливает общее представление двумерных карт, предназначенных для навигации мобильных роботов на закрытых и открытых территориях. Настоящий стандарт определяет характеристики для представления двумерных метрических и топологических карт и рекомендуемый формат для обмена картографическими данными между роботами, компьютерами и другими устройствами. Формат представления картографических данных, установленный в настоящем стандарте, соответствует только статическим картам, т. е. картам, на которых подвижные объекты не представлены в явном виде. Кроме того, настоящий стандарт не накладывает ограничений на географический масштаб карты или на качество поступающей сенсорной информации. В частности, в настоящем стандарте: a) установлена иерархия терминологий, относящихся к двумерным картам для навигации роботов в помещениях и на открытой местности; b) определена модель данных для каждого элемента в данной иерархии; c) определен XML-формат для обмена картографическими данными между роботами, компьютерными системами и другими устройствами | |
                                  
|