| Обозначение: |  ГОСТ Р 70841-2023 |
| Статус: | действующий |
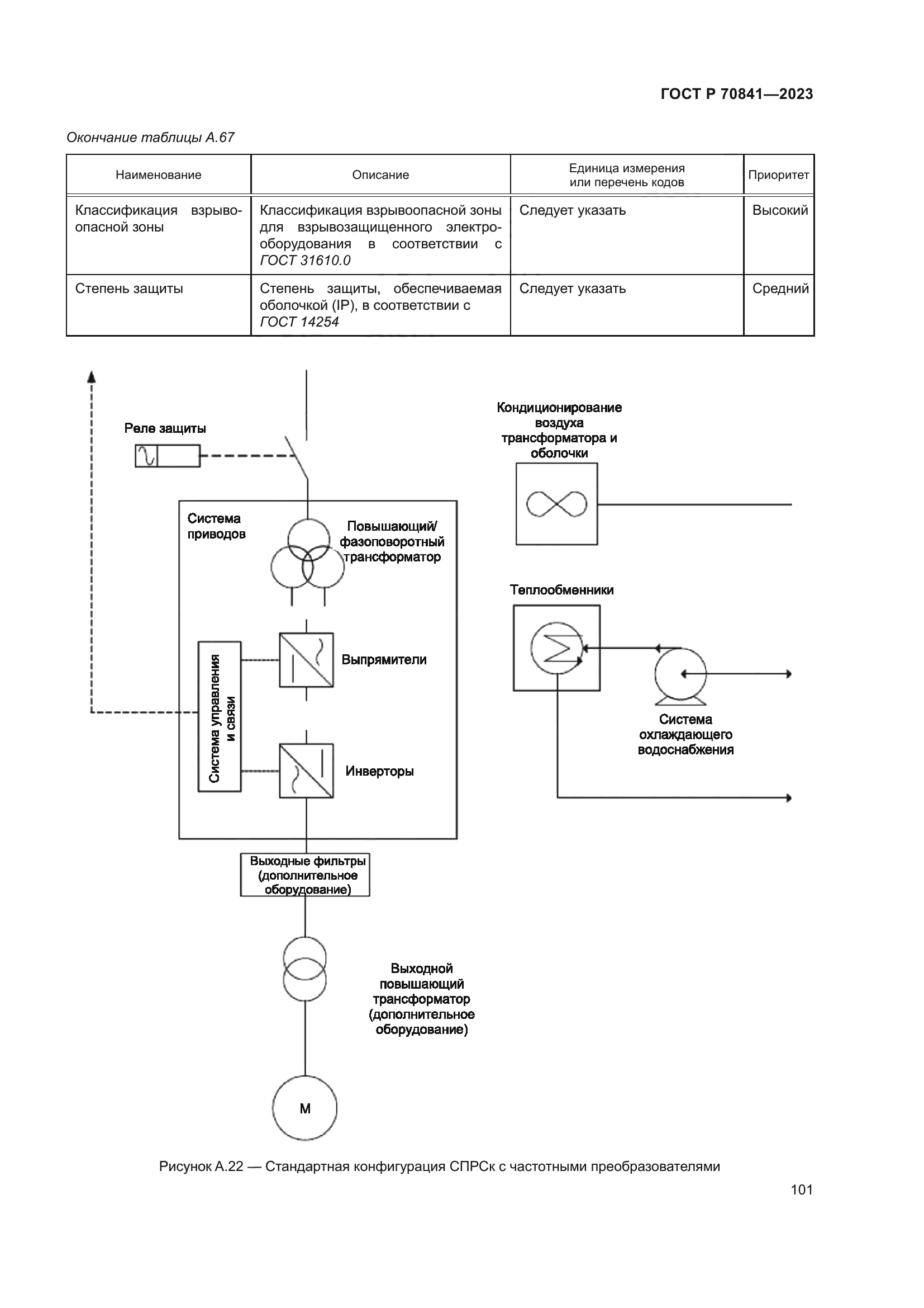
| Название рус.: | Нефтяная и газовая промышленность. Сбор и обмен данными по надежности и техническому обслуживанию оборудования |
| Название англ.: | Petroleum and natural gas industries. Collection and exchange of reliability and maintenance data for equipment |
| Дата актуализации текста: | 01.01.2024 |
| Дата актуализации описания: | 01.01.2024 |
| Дата издания: | 30.08.2023 |
| Дата введения: | 04.09.2023 |
| Содержит требования: | ISO 14224:2016 |
| Нормативные ссылки: | ГОСТ 14254-2015; ГОСТ 29322; ГОСТ 30830-2002; ГОСТ 31420; ГОСТ 31446; ГОСТ 31610.0; ГОСТ 31842; ГОСТ 31843; ГОСТ 31996; ГОСТ 32601; ГОСТ 32696; ГОСТ 33257-2015; ГОСТ 33852; ГОСТ 34029; ГОСТ 34182;ГОСТ IEC 60034-1;ГОСТ IEC 60034-12;ГОСТ IEC 60079-1;ГОСТ IEC 60079-2;ГОСТ IЕС 60227-1;ГОСТ IЕС 60227-2;ГОСТ IЕС 60227-3;ГОСТ IЕС 60227-4;ГОСТ IЕС 60227-5;ГОСТ IЕС 60227-6;ГОСТ IЕС 60227-7;ГОСТ IЕС 60947-4-1;ГОСТ IEC 61439-1;ГОСТ IEC 61508-3;ГОСТ ISO 3977-3;ГОСТ ISO 3977-4;ГОСТ ISO 8528-5-2017;ГОСТ ISO 8528-6-2017;ГОСТ ISO 8528-8-2011;ГОСТ ISO 8528-12-2017;ГОСТ ISO 10417;ГОСТ ISO 10432;ГОСТ ISO 13706;ГОСТ ISO 14310;ГОСТ ISO 15547-2;ГОСТ ISO 16070;ГОСТ ISO 17769-1; ГОСТ Р 27.302; ГОСТ Р 27.303-2021; ГОСТ Р 27.601; ГОСТ Р 27.606; ГОСТ Р 51365; ГОСТ Р 51524; ГОСТ Р 51852; ГОСТ Р 51901.5; ГОСТ Р 51901.16; ГОСТ Р 52200; ГОСТ Р 53986; ГОСТ Р 53987; ГОСТ Р 54419; ГОСТ Р 54483; ГОСТ Р 54802; ГОСТ Р 54827; ГОСТ Р 55025; ГОСТ Р 55190; ГОСТ Р 55716; ГОСТ Р 55798; ГОСТ Р 55849; ГОСТ Р 56001; ГОСТ Р 56738; ГОСТ Р 58771; ГОСТ Р 58773; ГОСТ Р 59305; ГОСТ Р ИСО 8528-2; ГОСТ Р ИСО 8528-7; ГОСТ Р ИСО 13053-1; ГОСТ Р ИСО 13628-4; ГОСТ Р ИСО 13679; ГОСТ Р ИСО 13703; ГОСТ Р ИСО 14001; ГОСТ Р ИСО 15547-1; ГОСТ Р ИСО 15926-2-2010; ГОСТ Р ИСО 17776; ГОСТ Р ИСО 20815-2013; ГОСТ Р ИСО 28460; ГОСТ Р ИСО 31000-2019; ГОСТ Р МЭК 60085; ГОСТ Р МЭК 60300-3-3; ГОСТ Р МЭК 60840; ГОСТ Р МЭК 61078; ГОСТ Р МЭК 61131-1; ГОСТ Р МЭК 61165; ГОСТ Р МЭК 61508-1; ГОСТ Р МЭК 61508-2; ГОСТ Р МЭК 61508-4-2012; ГОСТ Р МЭК 61508-5; ГОСТ Р МЭК 61508-6-2012; ГОСТ Р МЭК 61508-7; ГОСТ Р МЭК 61511-1; ГОСТ Р МЭК 61511-2; ГОСТ Р МЭК 61800-1; ГОСТ Р МЭК 61800-2; ГОСТ Р МЭК 61800-4 |
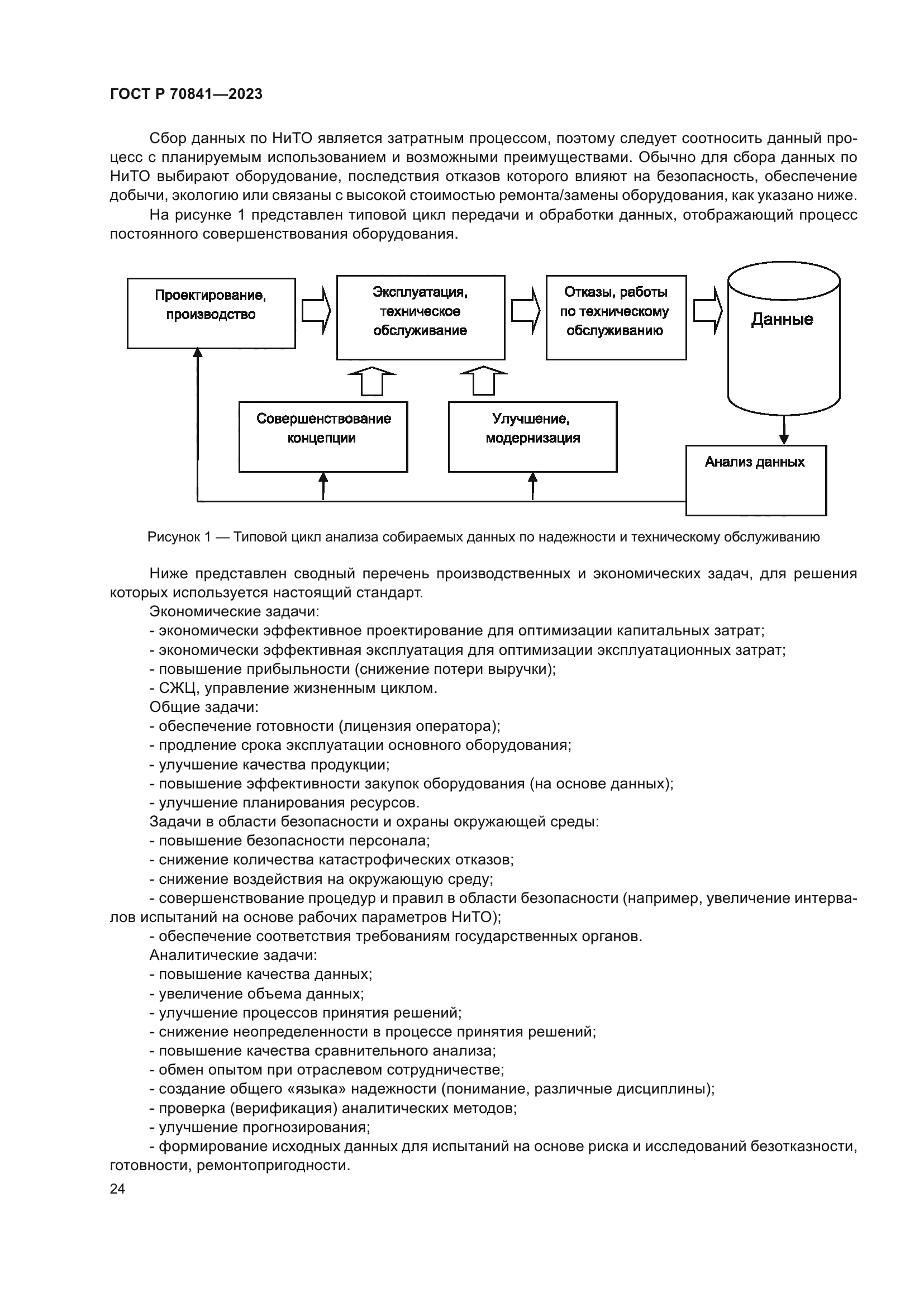
| Область применения: | Настоящий стандарт представляет комплексную основу для сбора данных по надежности и техническому обслуживанию оборудования в стандартном формате для всех установок и операций в нефтяной, нефтехимической и газовой промышленности на протяжении всего жизненного цикла оборудования. Настоящий стандарт устанавливает принципы сбора данных, соответствующие термины и определения. Определения видов отказов, приведенные в разделе 2, могут быть использованы в качестве терминологического справочника по надежности для различных количественных и качественных применений. Настоящий стандарт также определяет подходы к управлению качеством данных и процедуры обеспечения качества данных, предоставляя таким образом руководство для пользователей |
|