Скачать ГОСТ Р 70761-2023 Трубы обсадные и насосно-компрессорные. Общие технические условияДата актуализации: 01.06.2025
| ||||||||||||||||||||||||||||||
| Обозначение: | ![]() ГОСТ Р 70761-2023 |
| Статус: | действующий |
| Название рус.: | Трубы обсадные и насосно-компрессорные. Общие технические условия |
| Название англ.: | Casing and tubing. General specifications |
| Дата актуализации текста: | 01.06.2024 |
| Дата актуализации описания: | 01.01.2024 |
| Дата издания: | 25.08.2023 |
| Дата введения: | 01.09.2023 |
| Аутентичен стандартам: | API Spec 5CT |
| Нормативные ссылки: | ISO 643;ISO 6506-1;ISO 6506-2;ISO 6508-1;ISO 6892-1;ISO 7500-1;ISO 8501-1;ISO 9513;ISO 9712;ISO 9769;ISO 10400;ISO 10893-2;ISO 10893-3;ISO 10893-5;ISO 10893-10;ISO 10893-11;ISO 11484;ISO 13665;ISO 13678;ISO 80000-1;API Recommended practice 5A3;API Specification 5B;API Specification Q1;API Technical Report 5C3;ASNT SNT-TC-1A;ASTM A370;ASTM A751;ASTM B117;ASTM E4;ASTM E10;ASTM E18;ASTM E23;ASTM E29;ASTM E83;ASTM E112;ASTM E213;ASTM E273;ASTM E309;ASTM E543;ASTM E570;ASTM E709;IADC/SPE 11396;MIL-STD-810c;NACE TM0177-2016 |
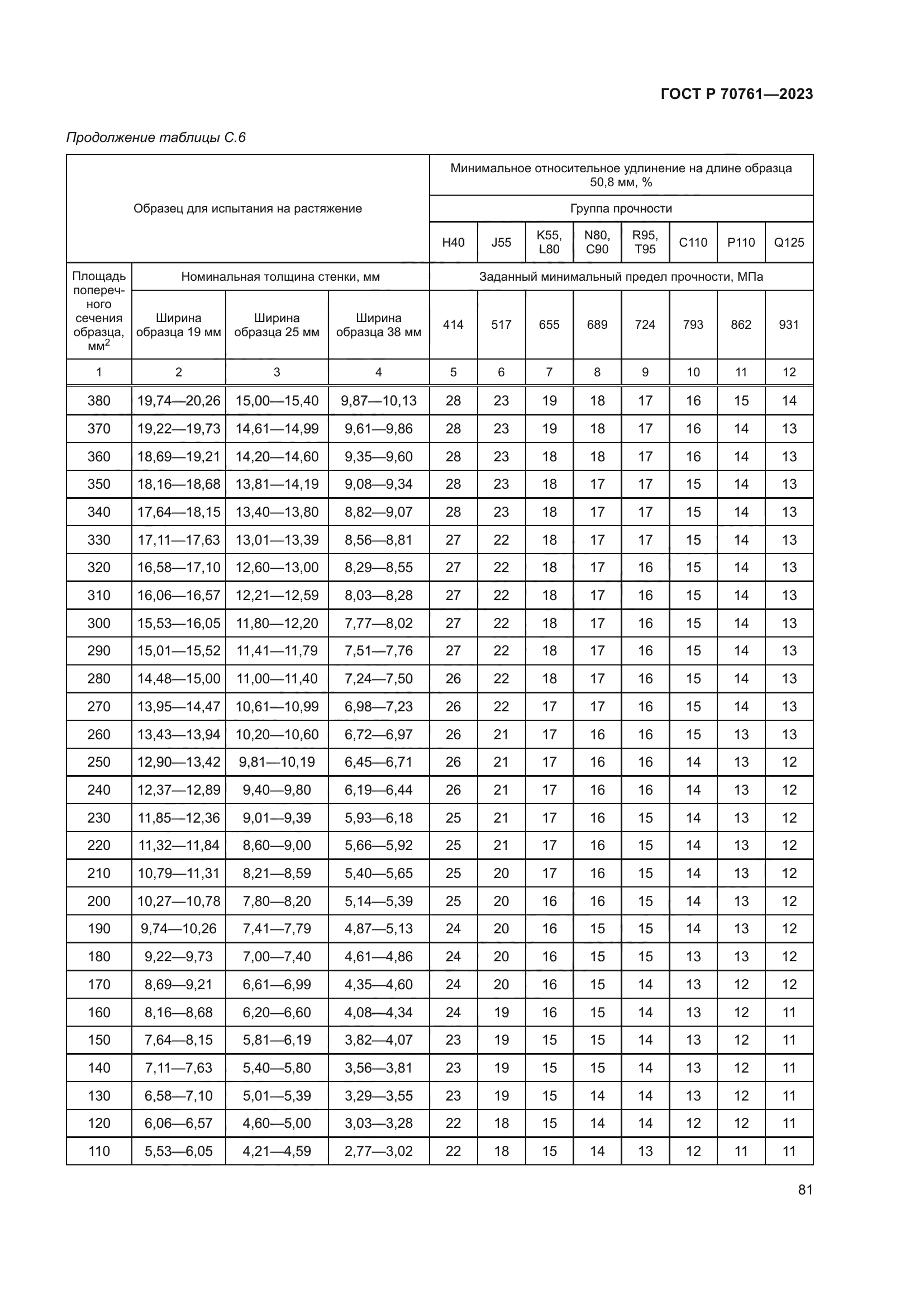
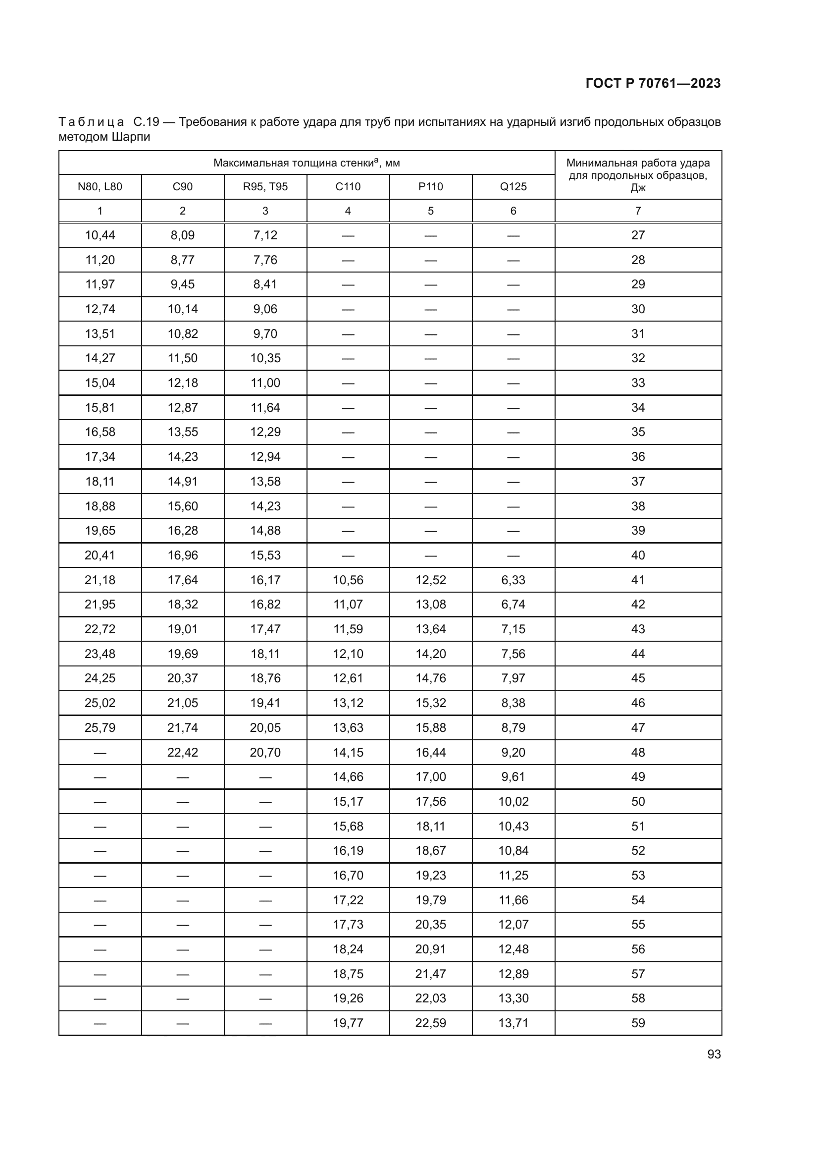
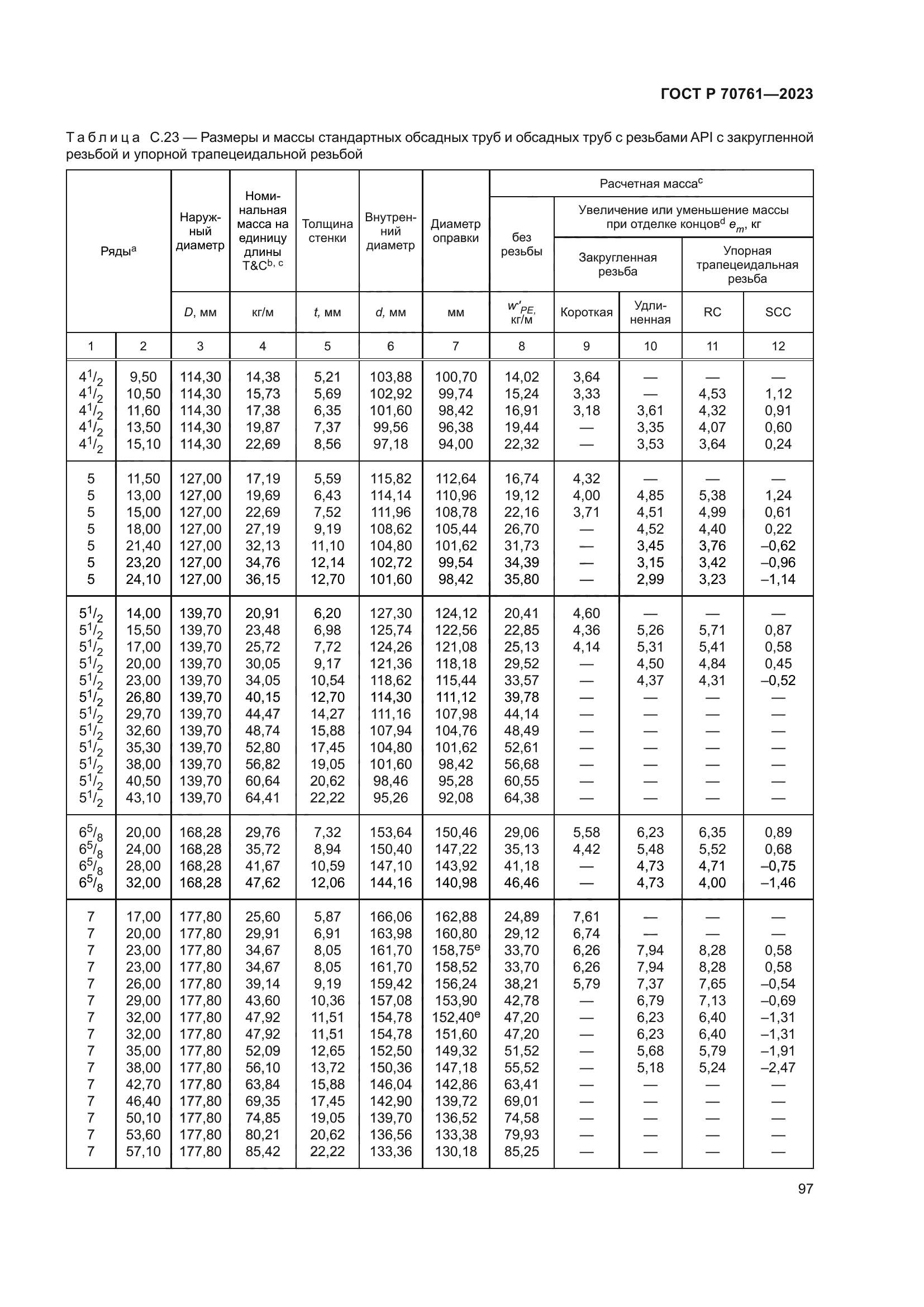
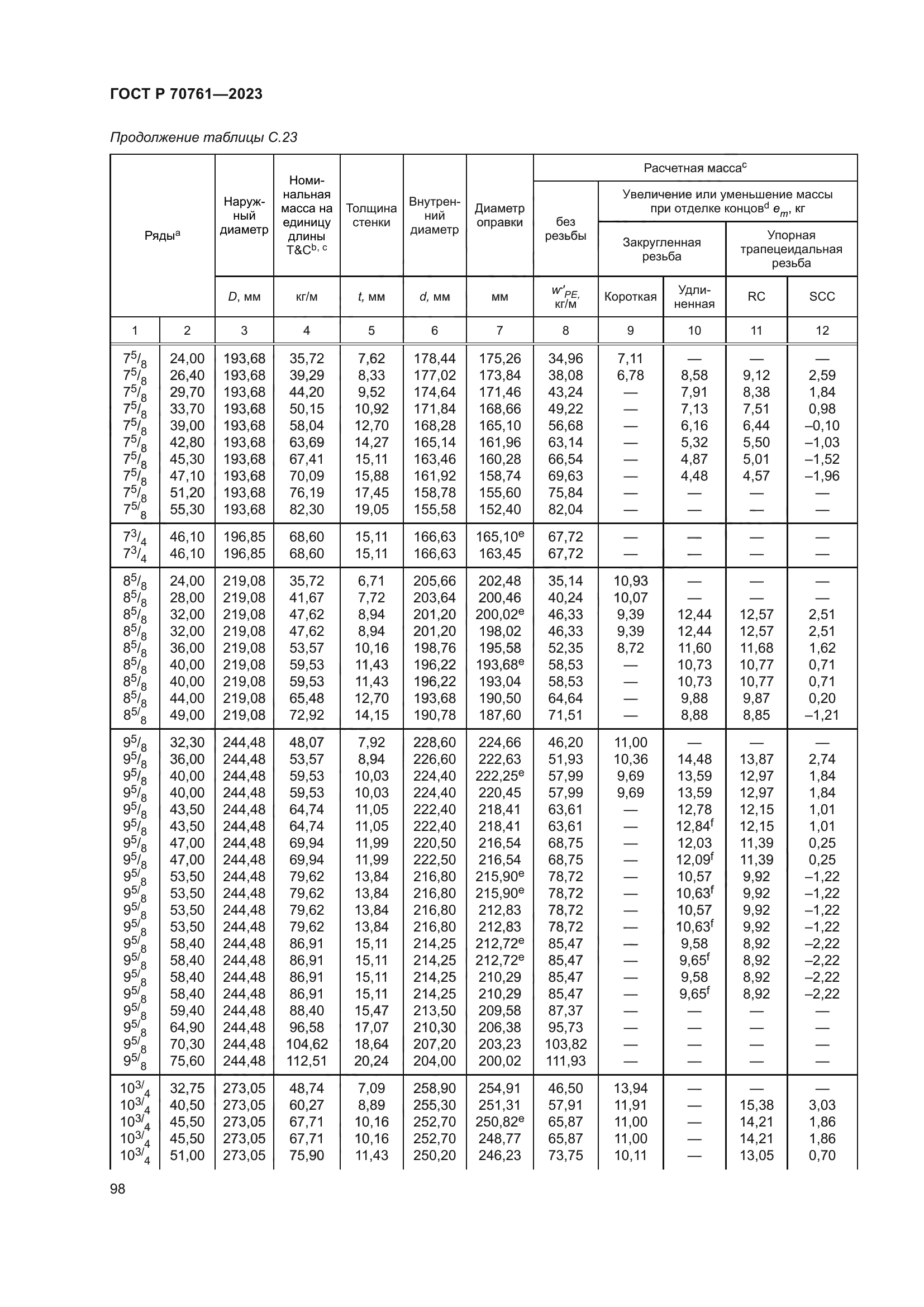
| Область применения: | Настоящий стандарт устанавливает требования к стальным трубам (обсадным, насосно-компрессорным и коротким трубам), трубным заготовкам для муфт, заготовкам для муфт и заготовкам для соединительных деталей, изготавливаемым по трем уровням требований к изделиям (PSL-1, PSL-2, PSL-3). Требования, установленные в настоящем стандарте, являются требованиями PSL-1. Требования PSL-2 и PSL-3 для всех групп прочности, кроме H-40, L80 (9Cr и C110), также приведены в настоящем стандарте. Для тех труб, на которые распространяется настоящий стандарт, приведены размеры, масса и толщина стенки, а также группы прочности и применяемая отделка концов. Трубы по настоящему стандарту могут быть заказаны в качестве обсадных труб в соответствии с API 5C6 |
| Приложение №1: | Поправка к ГОСТ Р 70761-2023 |































































































































































































































































| Обозначение: | Поправка к ГОСТ Р 70761-2023 |
| Дата введения: | 01.03.2024 |
